マルチ波長液晶可変リターダー、コントローラー内蔵型

- Designed for Visible Light: 400 - 700 nm
- Variable Retardance of 0 - 4000 nm
- Externally Controllable, Programmable Retardance Sequences
LCC2415-VIS
Application Idea
LCC2415-VIS Variable Retarder Connected to an RSP1 Rotation Mount with an SM1T2 Lens Tube Coupler

Please Wait
動作原理

高リターダンス

低リターダンス
Figure 1.1 ネマティック相の液晶分子が規則正しく配列され、棒状形状と共に光学異方性を生み出します。電界がかかると、分子は電界方向へ配向し、液晶分子の傾きが複屈折のレベルを決定します。
| Selection Guide for LC Retarders | |
|---|---|
| Type | Clear Aperture |
| Half Wave | Ø10 mm or Ø20 mm |
| Half Wave, Thermally Stabilized | Ø10 mm |
| Full Wave | Ø10 mm or Ø20 mm |
| Full Wave, Thermally Stabilized | Ø20 mm |
| Multi-Wave | Ø10 mm |
| Multi-Wave, Integrated Controller | Ø10 mm |
| Custom LC Retarders | |
特長
- ネマティック液晶波長板、PC制御可能な可変リターダンス
- リターダンス範囲:0~4000 nm (633 nmではゼロ~6.32λ)
- 400~700 nmの入射波長用に設計
- 開口:Ø10 mm
- USBで電源供給。付属のソフトウェアを使用してUSBまたはBluetooth®でPCと通信。
- SMCコネクタからのトリガ入力によりユーザ定義のリターダンスシーケンス制御(「ソフトウェア」のタブをご覧ください。SMCケーブルは付属しておりません。)
- 数種類の取り付け方法
- 前後にSM1シリーズレンズチューブ取り付け用SM1内ネジ
- 前後に30 mmケージシステム取り付け用#4-40タップ穴が4個
- Ø12 mm~Ø12.7 mm(Ø1/2インチ)ポスト取付け用M4タップ穴が2個
可視域の波長範囲(400~700 nm)用に設計されたこちらのマルチ波長液晶可変リターダは、0~4000 nmの絶対リターダンス値に連続可変が可能です。これは700 nmでは5.71λ、400 nmでは10λの最大リターダンスに相当します。 リターダンスは、Figure 1.1でご覧いただけるように液晶セルに電圧を印加することによって制御します。この波長板には可動部がないため、百ミリ秒単位の切り替え時間が得られます。詳細は「性能」タブをご覧ください。
付属のWindows®対応ソフトウェアパッケージを使用するとリターダンス(波数、度、またはnm)や、液晶セルに印加する電圧(0 V~10 V、0.2 mVの分解能)が設定可能です。リターダンスシーケンス制御のために、各ステップ毎に筐体のメス型SMCコネクタ(Figure 1.2参照)から外部トリガ信号(5 V TTL)を供給する必要があります。ステップはTTL信号の立ち下がりエッジで実行されます。シーケンスのトリガにはSMCケーブル(別売り)が必要です。

Click to Enlarge
Figure 1.2 リターダLCC2415-VIS(/M)の側面にあるUSBとSMCコネクタ端子
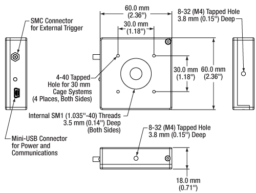
この可変波長板の開口はØ10 mmで、60.0 mm x 60.0 mm x 18.0 mmのコンパクトな筐体に納められているため光学系への組み込みも簡単です。筐体には液晶セルとコントローラ(USBで電源供給)の両方が内蔵されています。筐体の前後にはSM1シリーズレンズチューブ取り付け用SM1内ネジ、30 mmケージシステム取り付け用#4-40タップ穴が4つ付いています。筐体にØ12 mm~Ø12.7 mm(Ø1/2インチ)ポスト取り付け用M4タップ穴も2つ付いています。
PC制御
リターダは、付属のmini-USBケーブルを使用したUSB接続またはBluetooth®を介したワイヤレス接続によりWindows PCと通信します。ワイヤレス機能を使用するためには、Bluetoothコントローラが必要です(LCC2415-VIS/Mには付属しておりません)。また、Bluetoothを使用した場合でも、USB接続によりデバイスに電源を供給する必要がありますのでご注意ください。電源供給には高品質外部接続USBチャージャ(5 VDC、0.5 A max)が使用可能です。
アライメント
リターダは、入射された直線偏光の位相変調用に設計されています。適切な性能を得るためには、光をリターダのスロー軸に対して45°で偏光させる必要があります。正確なアライメントを得るために、レンズチューブカプラ SM1T2でリターダをSM1ネジ付き回転マウントに取り付けて使用することをお勧めします。構成例はページ上部の写真でご覧いただけます。
Bluetooth®はBluetooth SIG社の登録商標です。
| Item # | LCC2415-VIS(/M) | ||
|---|---|---|---|
| Optical Specifications | |||
| Wavelength Range | 400 - 700 nm | ||
| Wavelength Input Resolutiona | 5 nm | ||
| Retardance Range | 0 - 4000 nm | ||
| Retardance Resolution | 1 nm | ||
| Retardance Accuracyb | ±1% | ||
| Clear Aperture | Ø10 mm | ||
| Retardance Uniformity | < λ/50 (RMS) over the Entire Clear Aperture | ||
| Wavefront Distortion | ≤λ/4 at 635 nm | ||
| Surface Quality | 40-20 Scratch-Dig | ||
| Damage Thresholds | Pulsed (ns) | 1.0 J/cm2 (532 nm, 10 Hz, 8 ns, Ø200 µm) | |
| Pulsed (fs) | 0.01 J/cm2 (532 nm, 100 Hz, 76 fs, Ø162 µm) | ||
| Electrical Specifications | |||
| Trigger Connector | SMC | ||
| Trigger Input | 5 V TTL | ||
| Drive Voltage Range | 0 - 10 VRMS | ||
| Drive Voltage Resolutionc | 0.2 mV | ||
| Power | Mini-USB (5 VDC, 0.5 A Max) | ||
| Physical Specifications | |||
| Housing Dimensions | 60.0 mm x 60.0 mm x 18.0 mm (2.36" x 2.36" x 0.71") | ||
| Operating Temperatured | 0 to 70 °C | ||
| Calibration Temperatureb | 20 to 30 °C | ||
| Storage Temperature | -15 to 70 °C | ||
| Weight | 100 g | ||
| Liquid Crystal Material | Nematic Liquid Crystal | ||

Figure 2.1 LCC2415-VIS(/M)の図面
グラフ
プロット図は典型的なリターダを用いて作成されています。実際の性能は製品毎に異なります。 すべての製品は、付属のソフトウェアから操作した際、400~700 nmの入射波長で0 nm~4000 nmのリターダンス(±1%)が得られるよう出荷前に工場で校正済みです。 製品の個別校正データをご希望の場合には当社までご連絡ください。
すべての性能データは垂直入射、25 °Cの環境温度で取得しています。

Click to Enlarge
Figure 3.1 400~700 nm、5 nm毎の生データはこちらからダウンロードいただけます。
このプロット図では、所望のリターダンスを得るためにソフトウェアで液晶セルに印加する駆動電圧VRMSを示しています。
Click to Enlarge
Figure 3.3 グラフは154週にわたるリターダンスの変化を示しています。
長期安定性
当社のLCリターダは、長期間使用しても一定の性能を発揮します。 Figure 3.3は液晶コントローラLCC25駆動時の1枚の3/4波長板LCC1112-Aの154週にわたるリターダンスの電圧特性を示しています。 リターダンスは週に1回試験が行われましたが、試験期間中の経時的な変化は僅かだったことが分かります。 試験期間中の週毎のデータはこちらからダウンロードいただけます。
Figure 3.4は一定の電圧において、リターダンス値の変化は僅かだったことを、またFigure 3.5は一定のリターダンス値を得るために必要な電圧の変化が僅かだったことを示しています。 他のリターダのモデルも同レベルの性能が期待できます。 リターダの安定性を長期にわたって最大限にするために、コントローラLCC25を常時使用することをお勧めいたします。 このコントローラは特にDCオフセットを低減することにより、電荷の蓄積を最小限にした安定性に優れた設計となっております。
長期的な性能データはこちらからダウンロードいただけます。

Click to Enlarge
Figure 3.5 λ/2のリターダンスを保持するために必要とされた電圧変化 (154週間)

Click to Enlarge
Figure 3.4 一定の電圧で動作させたときのリターダンスの変化(154週間)
切り替え時間
可動部が無いので、液晶(LC)リターダの切り替え時間がメカニカル可変波長板と比べて短くなっています。 液晶リターダの切り替え時間はいくつかの要因(たとえば製造工程や使い方)に依存します。
一般的な液晶リターダでは、複屈折値が高い値から低い値に変化する時に、常に切り替え時間が高速化します。 また、動作温度が高くなるほど、リターダの状態の変化速度は速くなります。これは、温度が高くなるほど液晶の粘度が落ちることに起因します。 リターダLCC2415-VIS/Mは70 °Cまで動作可能な設計となっています。
また、電圧が高くなるにつれて、切り替え速度は必ず速くなります。 もし、より速い切り替え速度が求められる場合、リターダと固定波長板を一緒にご使用いただくことをお勧めいたします。これにより、リターダにより大きな電圧をかけることができます。
切り替え速度は液晶リターダの厚さ、液晶材料の回転粘度、誘電異方性に正比例します。 しかし、これらそれぞれの要因は、液晶リターダの他の動作パラメータに影響を与えるので、当社の液晶リターダは切り替え時間に重点を起きながらも全体の性能が適切になるように設計されています。 より高速な液晶リターダだけでなく、その他のパラメータを最適化した特注とOEM液晶リターダもご提供しています。 詳細は「カスタム機能」タブをご覧いただくか、当社までお問い合わせください。
| Sample Switching Times at Various Temperatures | ||
|---|---|---|
| Temperature | Rise Time (Increasing Retardance) | Fall Time (Decreasing Retardance) |
| From 3.1 VRMS to 1.92 VRMS | ||
| 25 °C | 867.5 ms | 252.5 ms |
| 45 °C | 495 ms | 37.5 ms |
| 60 °C | 495 ms | 87.5 ms |
| 70 °C | 330 ms | 77.5 ms |
| From 3.1 VRMS to 1.34 VRMS | ||
| 25 °C | 1285 ms | 280 ms |
| 45 °C | 675.5 ms | 135 ms |
| 60 °C | 735 ms | 115 ms |
| 70 °C | 837.5 ms | 92.5 ms |
| From 3.1 VRMS to 1.04 VRMS | ||
| 25 °C | 3530 ms | 450 ms |
| 45 °C | 1710 ms | 162 ms |
| 60 °C | 2270 ms | 135 ms |
| 70 °C | 1755 ms | 145 ms |

Click to Enlarge
Figure 3.6 プロット図は、温度25 °C、V1 = 3.1 VRMSならびに V2 = 1.34 VRMS時のリターダLCC2415-VIS/Mの切り替え時間を示しています。 入射波長が400 nmの場合、上記の駆動電圧でそれぞれ505 nmならびに2835 nmのリターダンスを生成します。 立ち上がり時間は立ち下がり時間よりも大きいため、リターダンス増加は、同等のリターダンス減少よりも時間がかかることを意味しています。
コントローラ内蔵マルチ波長可変リターダLCC2415-VIS/M用ソフトウェア

Click to Enlarge
Figure 4.1 LCC2415-VIS(/M)のユーザーインターフェイス、メイン画面
ソフトウェア
バージョン 1.1.0
マルチ波長可変リターダをPCで制御するためのGUIインターフェイス、C/C++サンプルコードとLabVIEW VI。ダウンロードするには下記のボタンをクリックしてください。
ソフトウェアの使用にはLabVIEW 2011 Runtime Engineもインストールされている必要があります。www.ni.comからダウンロード可能です。
GUIインターフェイス
Windows®インターフェイスは、マルチ波長可変リターダの設定すべてにアクセス可能です。LCC2415-VIS/Mに設定されたリターダンスを変更したい場合、絶対リターダンス値(nm)または相対リターダンス値(波数または度)を入力します。また、液晶セルに印加する実際の電圧値を入力することもできます(0 V~10 V、1 mVの分解能)。
GUIでは、Figure 4.1でご覧いただけるようにユーザ定義のリターダンスシーケンスの入力も簡単です。シーケンスには各ステップ毎にそれぞれリターダンス値が設定されます。手動入力のほかにも、最初の値、最後の値、そして最初から最後の値までのステップサイズによりソフトウェアがシーケンスを定義することも可能です。シーケンスはCSV形式でインポートならびにエクスポートできます。
リターダンスシーケンスの設定には、各ステップ毎に筐体のメス型SMCコネクタから外部トリガ信号(5 V TTL)を供給する必要があります。ステップはTTL信号の立ち下がりエッジで実行されます。 SMCケーブルは別売りです。
カスタムソフトウェア開発
当社では、LCC2415-VIS/Mをほかの機器から制御できるようC/C++ならびにLabVIEWソフトウェア開発キットもご提供しております。C++のサンプルコードとLabVIEWのサンプルプログラムにより、C言語のコマンドとLabVIEWのVIがどのように使われるかが分かります。使用できるコマンドの一覧ガイドはマニュアルに記載されています。
当社の液晶リターダに使用されている液晶セルは、液晶分子溶液で満たされた透明なセルで構成されています。セル壁の2つの平行面には、セル全体にわたって電圧を印加するための透明導電膜がコーティングされています。
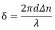
Figure 5.1でご覧いただけるように、電圧がかかってないときの液晶分子の方向は有機ポリイミド膜で作られた配向膜とラビング角により決まります。分子の方向が、分子の棒状形状とともにリターダンスに必要な複屈折性を生み出します。波数単位のリターダンス、δ、は以下の式で求めます。

dは液晶溶液の実効的な経路長さ、λは波長、Δnは水平偏光と垂直偏光の屈折率の差です。
AC電圧をセル全体に印加時、分子はデフォルトの向きから電界に沿って配向します。複屈折のレベルは、液晶分子の傾きによって決定され、VRMSで制御されます。よって印加電圧を変えることで、直線偏光の位相をアクティブに変調することが可能です。
なお、配向膜(Figure 5.1で緑色の部分)の近くの液晶分子は印加電界に応答しないため、液晶セルのリターダンスは真のゼロにはなりません。よって当社ではリターダンスが固定の波長板をLCC2415-VIS/Mに構成し、動かない液晶分子のリターダンスを補償しています。
| Table 6.1 Damage Threshold Specifications | |
|---|---|
| Laser Type | Damage Threshold |
| Pulsed (ns) | 1.0 J/cm2 (532 nm, 10 Hz, 8 ns, Ø200 µm) |
| Pulsed (fs) | 0.01 J/cm2 (532 nm, 100 Hz, 76 fs, Ø162 µm) |
損傷閾値データ
Table 6.1の仕様は当社の液晶リターダLCC2415-VISの測定データです。
レーザによる損傷閾値について
このチュートリアルでは、レーザ損傷閾値がどのように測定され、使用する用途に適切な光学素子の決定にその値をどのようにご利用いただけるかを総括しています。お客様のアプリケーションにおいて、光学素子を選択する際、光学素子のレーザによる損傷閾値(Laser Induced Damage Threshold :LIDT)を知ることが重要です。光学素子のLIDTはお客様が使用するレーザの種類に大きく依存します。連続(CW)レーザは、通常、吸収(コーティングまたは基板における)によって発生する熱によって損傷を引き起こします。一方、パルスレーザは熱的損傷が起こる前に、光学素子の格子構造から電子が引き剥がされることによって損傷を受けます。ここで示すガイドラインは、室温で新品の光学素子を前提としています(つまり、スクラッチ&ディグ仕様内、表面の汚染がないなど)。光学素子の表面に塵などの粒子が付くと、低い閾値で損傷を受ける可能性があります。そのため、光学素子の表面をきれいで埃のない状態に保つことをお勧めします。光学素子のクリーニングについては「光学素子クリーニングチュートリアル」をご参照ください。
テスト方法
当社のLIDTテストは、ISO/DIS 11254およびISO 21254に準拠しています。
初めに、低パワー/エネルギのビームを光学素子に入射します。その光学素子の10ヶ所に1回ずつ、設定した時間(CW)またはパルス数(決められたprf)、レーザを照射します。レーザを照射した後、倍率約100倍の顕微鏡を用いた検査で確認し、すべての確認できる損傷を調べます。特定のパワー/エネルギで損傷のあった場所の数を記録します。次に、そのパワー/エネルギを増やすか減らすかして、光学素子にさらに10ヶ所レーザを照射します。このプロセスを損傷が観測されるまで繰返します。損傷閾値は、光学素子が損傷に耐える、損傷が起こらない最大のパワー/エネルギになります。1つのミラーBB1-E02の試験結果はFigure 37Bのようなヒストグラムになります。

Figure 37A 写真はアルミニウムをコーティングしたミラーでLIDTテストを終えたものです。このテストは、損傷を受ける前のレーザのエネルギは0.43 J/cm2 (1064 nm、10 ns pulse、 10 Hz、Ø1.000 mm)でした。

Figure 37B ミラーBB1-E02のLIDTを決定するために使用した露光のヒストグラム(例)
| Table 37C Example Test Data | |||
|---|---|---|---|
| Fluence | # of Tested Locations | Locations with Damage | Locations Without Damage |
| 1.50 J/cm2 | 10 | 0 | 10 |
| 1.75 J/cm2 | 10 | 0 | 10 |
| 2.00 J/cm2 | 10 | 0 | 10 |
| 2.25 J/cm2 | 10 | 1 | 9 |
| 3.00 J/cm2 | 10 | 1 | 9 |
| 5.00 J/cm2 | 10 | 9 | 1 |
試験結果によれば、ミラーの損傷閾値は 2.00 J/cm2 (532 nm、10 ns pulse、10 Hz、 Ø0.803 mm)でした。尚、汚れや汚染によって光学素子の損傷閾値は大幅に低減されるため、こちらの試験はクリーンな光学素子で行っています。また、特定のロットのコーティングに対してのみ試験を行った結果ではありますが、当社の損傷閾値の仕様は様々な因子を考慮して、実測した値よりも低めに設定されており、全てのコーティングロットに対して適用されています。
CWレーザと長パルスレーザ
光学素子がCWレーザによって損傷を受けるのは、通常バルク材料がレーザのエネルギを吸収することによって引き起こされる溶解、あるいはAR(反射防止)コーティングのダメージによるものです[1]。1 µsを超える長いパルスレーザについてLIDTを論じる時は、CWレーザと同様に扱うことができます。
パルス長が1 nsと1 µs の間のときは、損傷は吸収、もしくは絶縁破壊のどちらかで発生していると考えることができます(CWとパルスのLIDT両方を調べなければなりません)。吸収は光学素子の固有特性によるものか、表面の不均一性によるものかのどちらかによって起こります。従って、LIDTは製造元の仕様以上の表面の質を有する光学素子にのみ有効です。多くの光学素子は、ハイパワーCWレーザで扱うことができる一方、アクロマティック複レンズのような接合レンズやNDフィルタのような高吸収光学素子は低いCWレーザ損傷閾値になる傾向にあります。このような低い損傷閾値は接着剤や金属コーティングにおける吸収や散乱によるものです。

Figure 37D 線形パワー密度におけるLIDTに対するパルス長とスポットサイズ。長パルス~CWでは線形パワー密度はスポットサイズにかかわらず一定です。 このグラフの出典は[1]です。

Figure 37E 均一ビームとガウシアンビームの強度分布プロファイル
繰返し周波数(prf)の高いパルスレーザは、光学素子に熱的損傷も引き起こします。この場合は吸収や熱拡散率のような因子が深く関係しており、残念ながらprfの高いレーザが熱的影響によって光学素子に損傷を引き起こす場合の信頼性のあるLIDTを求める方法は確立されておりません。prfの大きいビームでは、平均出力およびピークパワーの両方を等しいCW出力と比較する必要があります。また、非常に透過率の高い材料では、prfが上昇してもLIDTの減少は皆無かそれに近くなります。
ある光学素子の固有のCWレーザの損傷閾値を使う場合には、以下のことを知る必要があります。
- レーザの波長
- ビーム径(1/e2)
- ビームのおおよその強度プロファイル(ガウシアン型など)
- レーザのパワー密度(トータルパワーをビームの強度が1/e2の範囲の面積で割ったもの)
ビームのパワー密度はW/cmの単位で計算します。この条件下では、出力密度はスポットサイズとは無関係になります。つまり、スポットサイズの変化に合わせてLIDTを計算し直す必要がありません(Figure 37D参照)。平均線形パワー密度は、下の計算式で算出できます。

ここでは、ビーム強度プロファイルは一定であると仮定しています。次に、ビームがホットスポット、または他の不均一な強度プロファイルの場合を考慮して、おおよその最大パワー密度を計算する必要があります。ご参考までに、ガウシアンビームのときはビームの強度が1/e2の2倍のパワー密度を有します(Figure 37E参照)。
次に、光学素子のLIDTの仕様の最大パワー密度を比較しましょう。損傷閾値の測定波長が光学素子に使用する波長と異なっている場合には、その損傷閾値は適宜補正が必要です。おおよその目安として参考にできるのは、損傷閾値は波長に対して比例関係であるということです。短い波長で使う場合、損傷閾値は低下します(つまり、1310 nmで10 W/cmのLIDTならば、655 nmでは5 W/cmと見積もります)。

この目安は一般的な傾向ですが、LIDTと波長の関係を定量的に示すものではありません。例えば、CW用途では、損傷はコーティングや基板の吸収によってより大きく変化し、必ずしも一般的な傾向通りとはなりません。上記の傾向はLIDT値の目安として参考にしていただけますが、LIDTの仕様波長と異なる場合には当社までお問い合わせください。パワー密度が光学素子の補正済みLIDTよりも小さい場合、この光学素子は目的の用途にご使用いただけます。
当社のウェブ上の損傷閾値の仕様と我々が行った実際の実験の値の間にはある程度の差があります。これはロット間の違いによって発生する誤差を許容するためです。ご要求に応じて、当社は個別の情報やテスト結果の証明書を発行することもできます。損傷解析は、類似した光学素子を用いて行います(お客様の光学素子には損傷は与えません)。試験の費用や所要時間などの詳細は、当社までお問い合わせください。
パルスレーザ
先に述べたように、通常、パルスレーザはCWレーザとは異なるタイプの損傷を光学素子に引き起こします。パルスレーザは損傷を与えるほど光学素子を加熱しませんが、光学素子から電子をひきはがします。残念ながら、お客様のレーザに対して光学素子のLIDTの仕様を照らし合わせることは非常に困難です。パルスレーザのパルス幅に起因する光学素子の損傷には、複数の形態があります。Table 37Fのハイライトされた列は当社の仕様のLIDT値が当てはまるパルス幅に対する概要です。
パルス幅が10-9 sより短いパルスについては、当社の仕様のLIDT値と比較することは困難です。この超短パルスでは、多光子アバランシェ電離などのさまざまなメカニクスが損傷機構の主流になります[2]。対照的に、パルス幅が10-7 sと10-4 sの間のパルスは絶縁破壊、または熱的影響により光学素子の損傷を引き起こすと考えられます。これは、光学素子がお客様の用途に適しているかどうかを決定するために、レーザービームに対してCWとパルス両方による損傷閾値を参照しなくてはならないということです。
| Table 37F Laser Induced Damage Regimes | ||||
|---|---|---|---|---|
| Pulse Duration | t < 10-9 s | 10-9 < t < 10-7 s | 10-7 < t < 10-4 s | t > 10-4 s |
| Damage Mechanism | Avalanche Ionization | Dielectric Breakdown | Dielectric Breakdown or Thermal | Thermal |
| Relevant Damage Specification | No Comparison (See Above) | Pulsed | Pulsed and CW | CW |
お客様のパルスレーザに対してLIDTを比較する際は、以下のことを確認いただくことが重要です。

Figure 37G エネルギ密度におけるLIDTに対するパルス長&スポットサイズ。短パルスでは、エネルギ密度はスポットサイズにかかわらず一定です。このグラフの出典は[1]です。
- レーザの波長
- ビームのエネルギ密度(トータルエネルギをビームの強度が1/e2の範囲の面積で割ったもの)
- レーザのパルス幅
- パルスの繰返周波数(prf)
- 実際に使用するビーム径(1/e2 )
- ビームのおおよその強度プロファイル(ガウシアン型など)
ビームのエネルギ密度はJ/cm2の単位で計算します。Figure 37Gは、短パルス光源には、エネルギ密度が適した測定量であることを示しています。この条件下では、エネルギ密度はスポットサイズとは無関係になります。つまり、スポットサイズの変化に合わせてLIDTを計算し直す必要がありません。ここでは、ビーム強度プロファイルは一定であると仮定しています。ここで、ビームがホットスポット、または他の不均一な強度プロファイルの場合を考慮して、おおよその最大パワー密度を計算する必要があります。ご参考までに、ガウシアンビームのときは一般にビームの強度が1/e2のときの2倍のパワー密度を有します。
次に、光学素子のLIDTの仕様と最大エネルギ密度を比較しましょう。損傷閾値の測定波長が光学素子に使用する波長と異なっている場合には、その損傷閾値は適宜補正が必要です[3]。経験則から、損傷閾値は波長に対して以下のような平方根の関係であるということです。短い波長で使う場合、損傷閾値は低下します(例えば、1064 nmで 1 J/cm2のLIDTならば、532 nmでは0.7 J/cm2と計算されます)。

波長を補正したエネルギ密度を得ました。これを以下のステップで使用します。
ビーム径は損傷閾値を比較する時にも重要です。LIDTがJ/cm2の単位で表される場合、スポットサイズとは無関係になりますが、ビームサイズが大きい場合、LIDTの不一致を引き起こす原因でもある不具合が、より明らかになる傾向があります[4]。ここで示されているデータでは、LIDTの測定には<1 mmのビーム径が用いられています。ビーム径が5 mmよりも大きい場合、前述のようにビームのサイズが大きいほど不具合の影響が大きくなるため、LIDT (J/cm2)はビーム径とは無関係にはなりません。
次に、パルス幅について補正します。パルス幅が長くなるほど、より大きなエネルギに光学素子は耐えることができます。パルス幅が1~100 nsの場合の近似式は以下のようになります。

お客様のレーザのパルス幅をもとに、光学素子の補正されたLIDTを計算するのにこの計算式を使います。お客様の最大エネルギ密度が、この補正したエネルギ密度よりも小さい場合、その光学素子はお客様の用途でご使用いただけます。ご注意いただきたい点は、10-9 s と10-7 sの間のパルスにのみこの計算が使えることです。パルス幅が10-7 sと10-4 sの間の場合には、CWのLIDTも調べなければなりません。
当社のウェブ上の損傷閾値の仕様と我々が行った実際の実験の値の間にはある程度の差があります。これはロット間の違いによって発生する誤差を許容するためです。ご要求に応じて、当社では個別のテスト情報やテスト結果の証明書を発行することも可能です。詳細は、当社までお問い合わせください。
[1] R. M. Wood, Optics and Laser Tech. 29, 517 (1998).
[2] Roger M. Wood, Laser-Induced Damage of Optical Materials (Institute of Physics Publishing, Philadelphia, PA, 2003).
[3] C. W. Carr et al., Phys. Rev. Lett. 91, 127402 (2003).
[4] N. Bloembergen, Appl. Opt. 12, 661 (1973).
カスタム液晶機能
標準品として多様な液晶リターダをご用意しています。λ/2波長可変の温度制御モデルや、Ø10 mmまたはØ20 mmの開口のλ/2、3λ/4、全波長可変タイプがあります。標準品のほか、組み込み用途(OEM用途)向けや特注にも対応いたします。リターダンス範囲、コーティング、研磨角、温度安定化、サイズなど、多様な光学設計にも対応し、カスタマイズできます。 空の液晶セル、偏光ローテータ、ノイズ減衰器のような、その他のカスタム液晶デバイスもご提供できます。 カスタム液晶デバイスのご注文方法の詳細は、当社までお問い合わせください。
カスタム製品の場合、お客様から詳細を伺い、仕様や特性を設計します。 エンジニアは、設計と実現性の両方を解析することで、カスタム製品を高い水準の品質を保ちながらタイムリーに製造できるようにできます。
ポリイミド(PI)コーティングと研磨 - カスタムアライメント角
これらのネマティック相では、液晶分子は平均的な方向に配列されています。この長細い分子形状が、光学異方性か、方向依存の光学効果を発生させます。 電圧が印加されていない時の液晶セル内の液晶分子の方向は、配向膜により決まります。配向膜は、ポリイミド(PI)コーティングと研磨角でつくられます。 摩擦により溝をつくり、液晶分子を溝に沿って配向させます。 摩擦角を決めることで、液晶分子の初期の方向をどのような方向にすることもできます。
カスタムセル間隔
液晶セル内の壁の間隔は液晶材料の厚さによって決められ、製造工程中でカスタマイズすることができます。 液晶セルのリターダンス角は、液晶材料の厚さによって決まります。
![]()
ここで、δ は波のリターダンス、d は液晶材料の厚さ、λν は光の波長、Δn は使用される液晶材料の複屈折です。 したがって、与えられた波長でのリターダンスは、液晶セル内の壁の間隔によって決定されます(例えば液晶層の厚さ)。 標準的なリターダンス範囲は、 30 nm〜λ/2、30 nm〜3λ/4、30 nm〜λですが、更に広いリターダンス範囲もご注文いただけます。
カスタム液晶材料
お客様にご提供いただいた液晶材料を、当社で液晶セルに詰めることもできます。 異なる液晶材料は、異なる複屈折値を持っているので、材料を変更することでリターダンス角を変えることができます。
温度制御/切り替え時間
温度センサを液晶可変リターダに組み込むこともできます。 温度コントローラを用いることで、リターダの温度を±0.1 °Cの範囲内でアクティブに安定化することができます。温度が高いほど液晶材料の粘度が減少するので、リターダが1つの状態から他の状態へ切り替わる速度 は速くなります。 アクティブな温度制御システムをリターダの加熱に使うことで、より速い切り替え速度でリターダを駆動することができます。
アセンブリ/筐体
必要に応じて、筐体のないカスタム液晶リターダを製造することもできます。
テスト
Figure 7.4に示す測定セットアップを使用することで、それぞれの液晶リターダの複屈折、均一性、高速軸の角度が測定されます。 装置では、波長板とCCDカメラを用いて2次元の複屈折分布を測定します。 Figure 7.5は、液晶リターダのサンプルテスト結果を示しています。優れた均一性を示しています。
詳細情報
カスタム液晶デバイスについてや、ご注文の方法については当社までお問い合わせください。
| Custom Capability | Custom Specification |
|---|---|
| Patterned Retarder Size | Ø100 µm to Ø2" |
| Patterned Retarder Shape | Any |
| Microretarder Size | ≥ Ø30 µm |
| Microretarder Shape | Round or Square |
| Retardance Range @ 632.8 nm | 50 to 550 nm |
| Substrate | N-BK7, UV Fused Silica, or Other Glass |
| Substrate Size | Ø5 mm to Ø2" |
| AR Coating | -A: 350 - 700 nm -B: 650 - 1050 nm -C: 1050 - 1700 nm |

Click to Enlarge
Figure 97A ランダム分布のパターンリターダ
特長
- カスタム仕様のマイクロリターダを構築
- サイズ、形状、ならびに基板材料のカスタマイズが可能
- リターダンス範囲: 50~550 nm
- ファスト軸分解能: <1°
- リターダンス変動:30 nm未満
用途
- 3次元ディスプレイ
- 偏光イメージング
- 回折用途:偏光回折格子、偏光分析法、ビームステアリング
当社ではパターンサイズØ100 µm~Ø50.8 mm(Ø2インチ)、基板サイズØ5 mm~ Ø50.8 mm(Ø2インチ)でカスタム仕様のパターンリターダをご提供可能です。 カスタム仕様のリターダは、隣り合うファスト軸がそれぞれ異なる角度を持つマイクロリターダのアレイによって構成されます。 マイクロリターダのサイズ(最小は30 µm)や形状(円、正方形、多角形など)もカスタマイズ可能です。 当社では、1つ1つのマイクロリターダのサイズや形状をコントロールできるため、ほとんどの実験・デバイスニーズに合った様々なパターンリターダを構築することができます。
パターンリターダは、液晶ならびに液晶ポリマから作られます。 フォトアライメントの技術を用い、各マイクロリターダのファスト軸を<1°の分解能でどの角度にも設定可能です。 Figure 97A、97B、97Cでは当社のパターンリターダの例をご紹介しています。 図はイメージング偏光計で得られたパターンリターダの測定結果を表しており、個々のマイクロリターダのファスト軸方向が隣り合っていても別々に制御可能であることを示しています。
当社のパターンリターダの製造工程はすべて社内で行われています。 工程は、基板を準備することから始まります。典型的な基板はN-BK7またはUV溶融石英(UVFS)です(ほかのガラス基板でも対応可能なものがあります)。 基板をフォトアライメント材料の層でコーティングし、当社のパターンリターダーシステムに設置後、ファスト軸を設定するために直線偏光で露光します。 露光箇所は、ご希望のマイクロリターダのサイズによって決まります。ファスト軸は<1°分解能で0°~180°の角度に設定可能です。 設定後、液晶ポリマでデバイスをコーティングすることによって液晶セルを構築し、UV光で硬化します。
当社の LCPデポラライザ はこのパターンリターダの1例です。原則的に真にランダム化されたパターンは入射偏光を空間的にスクランブルするのでデポラライザとして使用可能です。しかし、このようなパターン素子は回折が大きくなります。当社のデポラライザは、ファスト軸の角度が線形的に増加しており、回折を大きくすることなく、0.5 mm径以上のサイズの広帯域ならびに単色ビームの両方をデポラライズする設計がなされています。詳細については当社の LCPデポラライザの製品ページをご覧ください。
ご希望のパターンリターダの図、またはファスト軸分布のエクセルファイルをご提供いただければ、ほとんどのパターンリターダが構築可能です。パターンリターダの作製については当社までお問い合わせください。

Click to Enlarge
Figure 97B スパイラル分布のパターンリターダ

Click to Enlarge
Figure 97C 複雑な分布のパターンリターダ
| Posted Comments: | |
Bruce Kane
 (posted 2024-07-29 12:40:36.467) Are the LC retarders you sell usable with CW sources? Or are there drift and stability issues that prevent this? Your specs seem to imply usage with pulsed or AC sources only. cdolbashian
 (posted 2024-08-01 03:14:05.0) Thanks for contacting Thorlabs! Our LC retarders are usable with CW sources as well. The pulse-related specification in the spec sheet is only about the damage threshold. We will contact you directly to gather more information about your specific laser parameters and the feasibility of using it with our LC retarders. Raj Patel
 (posted 2021-02-11 15:31:35.22) Is it possible to communicate with the device via serial commands instead of using dll? I would like to control the device via Matlab and serial communication seems easier than loading C libraries. Do you have examples of using serial commands to communicate with LCC2415? YLohia
 (posted 2021-02-18 10:26:30.0) Thank you for contacting Thorlabs. The LCC2415-VIS can be controlled by a serial commands through the USB port or Bluetooth (please see Section 6 in the manual). The current SDK can support C/C++ and LabView but, unfortunately, and we haven't performed full test compatibility for Matlab (and thus don't have example for that environment). jouni.peltoniemi
 (posted 2018-02-23 11:57:25.64) The view looks quite yellow and scratched.
As if there would be some cover to be removed, but I cannot get anything detached either. What to do? YLohia
 (posted 2018-03-30 09:50:59.0) Response from Yashasvi at Thorlabs USA: Hello, thank you for contacting Thorlabs. The yellow tape (same as our part number KAP22-075) that you see is for dust protection; you will have to remove it in order to use the device correctly. You may need use tweezers when removing the tape to avoid damaging the optics on the unit. sebastien.loranger
 (posted 2015-08-11 10:15:47.73) We were excited by this product considering the integrated controller, but were very disapointed upon using it. It is complicated to use because of the required trigger. Why not allow a triggering from the software?! Also, for your information, no one has SMC connectors in an optics labs... this is very irritating! You should at least give a BNC-SMC adapter with this product.
Regards,
Sébastien Loranger besembeson
 (posted 2015-09-24 06:44:23.0) Response from Bweh at Thorlabs USA: We are planning to add the soft triggering function in software level. There is no timeline yet for this but when this is added, you will just need to download the new software from the website. I will contact you to provide the adapter if you still need it. |
Products Home



















コントローラ内蔵型マルチ波長液晶可変リターダ