ピエゾ素子のチュートリアル


Please Wait
はじめに
このチュートリアルでは、ピエゾデバイスの基本構造と動作について説明いたします。これらのデバイスは圧力をかけると電圧が発生する現象、圧電効果(ピエゾ効果)を利用します。ピエゾ素子は、機械的圧力により電圧を発生させることもできますし(直接圧電効果)、電圧印加により物理的変位を生じさせることもできます(逆圧電効果)。このような2つのモードがあるためセンサとしても、またアクチュエータとしても、様々に活用されており、「スマート」あるいは「インテリジェント」な素材と言われています。とりわけチタン酸ジルコン酸鉛(PZT)はピエゾデバイスとして多用されている材料です。このため、PZTは市場に出回っているピエゾアクチュエータの大部分を占めるセラミック材料となっています。PZTには圧電性だけでなく、焦電性や強誘電性といった性質もあります。PZTデバイスは、圧電効果により機械デバイス(ミラーマウントや移動ステージなど)を精密に駆動しますが、これは下記の連立方程式で表されます(基本的には電界の方程式とフックの法則の応力テンソルを組み合わせたものです)。

および
.
また上の式は行列式表示では下記のようになります。


Click to Enlarge
Figure 1.1 PZTと各軸のラベル
ここでDは電気変位(電束密度)ベクトル、εは歪ベクトル、Eは印加電界ベクトル、σmは応力ベクトル、eσijは誘電率、ddimならびにdcjkは圧電定数、そして sEkmは弾性コンプライアンス(弾性率の逆数)です。具体的な行列要素はPZTの性能に関する数値を算出するのに使用されますが、それらの式の導出はこのチュートリアルの範囲を超えているので含まれておりません。
Figure 1.1はPZTデバイスの概略図です。デバイスの動作は通常1次元に制限され、発生する力や変位の方向が(電界で定義される)軸に沿って発生するように作られています。そのような場合の応力はF/Aで与えられます。ここで興味深いのはピエゾ素子に機械的歪がかかると、ピエゾ素子の発生する力がその断面積に比例するという点です。このことについてはブロッキングフォースについて説明するときにまたご説明いたします。
ピエゾ素子の動作が1次元に制限されている場合について触れましたが、一般にはそのほかのモード(Figure 1.2参照)での変形も発生します。これらの変形モードは実際にPZTデバイスを動作させるとわかります。変位させたい軸に対して直交するこのような変形は、PZTアクチュエータを実際に使用した時に様々な制限をもたらします。このことについてはこのチュートリアル内で別途詳細にご説明します。

Figure 1.2 変形モード
アクチュエータの種類
PZTアクチュエータは、主に低電圧、高電圧、ならびにリング型の3種類に分類されます。アクチュエータにはバルクタイプもありますが、最新のアクチュエータのほとんどは積層設計となっております。Figure 1.4と1.5では、バルク型と積層型アクチュエータの違いを図解しています。積層型デバイスは、下の式で表しているようにアクチュエータの任意の高さhに対して比例した変位量を生成します。

または
.
ここでnは積層数で、これで高さの相対変化量は積層数に比例することが分かります。この積層構造はまた、低電圧駆動、高速応答時間、高発生力、そして大きな電気機械結合といった優れた特性を備えています。アクチュエータにはバイモルフ構造もありますが、このチュートリアルにはその説明は含まれておりません。.

Click to Enlarge
Figure 1.3 T櫛型電極付き多層ピエゾ素子の立体断面図
低電圧型アクチュエータ
多くの低電圧型アクチュエータの動作電圧は200 V未満です。このアクチュエータはモノリシックな積層デバイスです。つまり個々の層が接着されているのではなく、焼結した積層構造になっています(Figure 1.3参照)。様々なサイズで提供されていますが、小さいものから中程度の大きさのものが多く、ほとんどが長方形の形をしております。静電容量は数µF程度で、弾性率が高いものが多いです。安価のため大量注文が可能で、そのうえ精密な動作にも優れています。ただし小さいので発生する力には制限があります。
高電圧型アクチュエータ
高電圧型アクチュエータの動作電圧は、通常500 Vを超えます。低電圧タイプのアクチュエータとは異なり、モノリシック構造ではありません。完成品の個々のPZTディスクや電極を接着剤で接着することで積層構造が作られています。アクチュエータの形状は通常円筒形です。標準的な用途向けの場合、サイズは低電圧型よりもはるかに大きくなります。静電容量は数100 nF程度で、弾性率は低電圧型よりも低くなっております。断面積が大きいとアクチュエータの発生する力も大きくなり、また低電圧型よりも高温度環境に耐えられます。
リング型アクチュエータ
リング型アクチュエータは中が空洞になっている円筒形の積層デバイスです(Figure 1.6参照)。中が空洞になっていない(バルクタイプの)アクチュエータより性能や信頼性においていくつかの利点があります。性能低下やピエゾ素子の損傷の大きな要因の1つは熱による損傷です。PZTはセラミックであるため熱伝導性が悪く、それにより寿命や信頼性が低下する場合があります。リング型のアクチュエータでは表面積が大幅に増えるので、熱をより速く除去できます。熱の除去能力が増したことにより、熱的損傷を恐れることなくより高い非共振周波数でアクチュエータを使用することもできます。またリング型積層構造には形状的な利点もあります。同じ容量のPZT材質でありながら、リング形状は半径がはるかに大きいので、アクチュエータの機械的安定性が増します。つまりこの設計では静電容量を増やさずに安定性が向上することになります。

Click to Enlarge
Figure 1.4 印加電圧によるピエゾ素子の伸長

Click to Enlarge
Figure 1.5 積層ピエゾ素子の構造

Click to Enlarge
Figure 1.6 リング型ピエゾアクチュエータの構造
当社のPZTデバイス製造能力

Click to Enlarge
Figure 1.7 スクリーン印刷銀電極
当社では独自のPZTデバイスを自社内で設計・製造しております。当社の技術ならびに製造チームはピエゾ素子の設計ならびに製造に18年間携わってきました。製造工程はまず計画されているアクチュエータの要件(例:サイズ、変位量、駆動電圧など)をもとに、適切なピエゾ材料を選ぶことから始まります。多層デバイスには、当社の積層PZTデバイス用に設計された銀・パラジウムペーストやマスクを使って内部電極をスクリーン印刷します。セラミックブロックの積層や相互接続された内部電極を組み立て、次に等方圧プレスにかけます。この工程でPZTデバイスの密度が増すため、機械的特性や加工性も向上します。その後PZTは適切な大きさに切断され、バインダーバーンアウトという工程に移ります。PZTに適切に設定された熱サイクルをかけることにより、接合材とセラミック中の残留溶媒が完全に蒸発し除去されます。これによってバッチによる性能差や欠陥が無くなり、すべての製造工程において信頼性と再現性が向上します。
バインダーバーンアウトによりピエゾ素子は焼結の準備が整います。焼結ではセラミック自体を溶解させることなく結合させ、適切な密度が得られるまで結晶性を形成し成長させます。当社では優れた寸法公差を得るために高精密ラップ盤を使用しています。このラップ盤は移動方向の寸法を5 µm以内に制御できます。この後、デバイスはクリーニングされ、完全に機能するピエゾ素子へと加工されていきます。まず、外部電極がデバイスにスクリーン印刷され、その後銀で焼き付けられます。銀焼き付けは8~12時間を要する工程で、銀電極とセラミックの接合力を強化します。
この時点においてデバイスはまだピエゾ素子ではありません。焼結されたPZTセラミックは等方的だからです。セラミックをピエゾ素子にするには、デバイスの電極に強い電界を印加し、分極処理を行うことによって、ピエゾ素子の特性を活性化させます。新しく形成されたピエゾデバイスは、静電容量、誘電正接、共振周波数、インピーダンス、漏れ、ストローク、ならびにピエゾ素子の電荷定数d33について、個々に試験をします。当社では電極の製造と試験に関する全ての工程を管理しており、それによりあらゆるピエゾ素子の用途にあった製品を製造できる柔軟性と専門性を有しています。
当社の専門家は独立型ならびに組込み型PZTデバイスの開発に継続的に取組んでおります。また適切に校正したPZTを作製することも可能です。詳細については当社までお問い合わせください。

Click to Enlarge
Figure 1.8 PZTブロックをサイズに合わせて切断

Click to Enlarge
Figure 1.9 ラップ盤上のPZTデバイス

Click to Enlarge
Figure 1.10 テスト装置内に取付けられたピエゾデバイス
チタン酸ジルコン酸鉛(PZT)は、しばしばミラーマウントや移動ステージなどのデバイスの精密調整に使用されています。PZTは「概要」タブでご説明したように、高い発生力、耐荷重、ならびに優れた剛性で小さな変位を生成することができます。この特性により、比較的大きな荷重に対して、変位は小さくても精密に駆動することができます。システム内にピエゾ素子を組込む方法や、適切なピエゾ素子を選択する方法を理解するためには、基本的な動作パラメータについてご説明する必要があります。このタブでは、PZTの動作理論について簡単に説明いたします。説明にはPZTの機械的特性、発生力の特性、そして電気的特性の概論が含まれます。
機械的特性
PZTの機械的性能はピエゾ素子を考察するうえで真っ先に取り上げられることが多い特性です。PZTデバイスが精密な動作や位置決めに適しているのは、印加した電界によって物理的な変位が発生するという、圧電効果の基本特性によるものです。例えば、ピエゾアクチュエータは外部共振器レーザ内の回析格子によるフィードバック光の制御のよく使用され、これにより特定の波長を選択することが可能となります。また、これらのデバイスはプラットフォームのアクティブな安定化にも適しており、NASAのスペースシャトルでは離陸や再突入時における機器の振動を防ぐためにも使用されてきました。
「概要」のタブでは、低電圧積層型、高電圧積層型、ならびにリング型の3種類の主要アクチュエータについてご紹介しました。積層型アクチュエータは、低電圧型と高電圧型とで電圧に差はありますが、その機械的な動作はとても似ています。「概要」タブのFigure 1.2には一般的な変形モードを示していますが、圧縮モードを意図して動作させようとしても、伸長モードやせん断モードも発生します。ここでの伸長モードは[1,1]または[2,2]軸方向であること以外、圧縮モードと似ています。せん断は、印加された電界が分極と変位方向の両方に直交する場合に生じます。

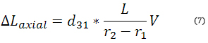
せん断型アクチュエータの変位は、伸長モードと同様に積層することで拡大します。リング型アクチュエータも積層構造なので同様です。一方でチューブ型アクチュエータとして知られているバルクタイプの構造のものがあります。このアクチュエータもリング型アクチュエータと同様に中が空洞の円筒形をしており、内外表面は電気接触のために金属コーティングされています。一般的には積層リング型アクチュエータの方が歪率が高く、そして低電圧構造のものが提供されているため、チューブ型よりも積層リング型が選ばれる傾向にあります。しかしチューブ型アクチュエータは、軸方向、半径方向、そして曲げ方向の変位を駆動できるように設計できます。チューブ型曲げアクチュエータは、XY走査チューブなどのデバイスとしてよく見かけます。これらの変位は下記の式で求められます。

Click to Enlarge
Figure 2.2 軸方向変位

Click to Enlarge
Figure 2.4 曲げアクチュエータ




Click to Enlarge
Figure 2.5 PZTのヒステリシス例
ここで、Lはアクチュエータの長さ、r1は内半径、そしてr2は外半径です。せん断型とチューブ型アクチュエータの動作を見ると分かりますように、ピエゾ素子では要求された動作を得るために様々な歪定数を活用できることを示しています。共振周波数以下においては、ピエゾ素子の変位量(ストロークと呼ばれる)は印加電圧信号に即座に追従します。ストロークの大きさは、フリーストローク長まで印加電圧の変化量で決まります。
開ループシステムではストロークはFigure 2.5のようなヒステリシスを示します。ヒステリシス曲線の正確な形や特性は、印加電圧の違いや、温度や負荷荷重などの環境条件やシステム条件に大きく依存します。これはPZT内のヒステリシスの原因である結晶の分極効果と分子摩擦によるものです。
ヒステリシスは小さい電位差で駆動することにより低減可能ですが、その場合にはストロークの範囲も制限されます。もう1つの方法として電荷制御があります。文字通り、PZTに印加する電圧の代わりに電荷を制御する方法です。電圧制御時に10~15%あるヒステリシスは、電荷制御により約2%に低減可能です。しかし長期に渡り精密性を保つには、さらにヒステリシスを低減する必要があります。閉ループシステムへ移行すれば基本的にすべてのヒステリシスを除去することができます。精密制御においては、多くの場合フィードバックループを使用したPZT積層デバイスの電圧制御によって行われます。なおサーボループを使用する場合、システムの力学特性(共振周波数、帯域幅など)は回路網全体で決定されるので、要件にあったパラメータが確実に得られるようサーボループを設計する必要があります。

Click to Enlarge
Figure 2.6 PZTの動作曲線の例
発生力とストローク
ピエゾ素子の重要な要素として、機械的な変位量のほかに発生力があります。ピエゾ素子の発生力は、ピエゾ素子への負荷と、その負荷のストロークの増加に伴う変化に依存します。例えば、ピエゾ素子の動作中における力が一定の場合、ピエゾ素子が発生する力は正味ゼロであり、最大ストロークが観測されます。しかし力がストロークに強く依存する場合は、ピエゾ素子は大きな力学的な力を必要とします。このようなときはストロークが減少します。Figure 2.6はストロークと発生力の典型的な関係を示しています。このグラフにはピエゾアクチュエータの非常に重要なパラメータが2つ示されています。フリーストローク(ΔLFS)、およびブロッキングフォース(FBlock)です。
ピエゾ素子におけるフリーストロークは、(プリロードなど)何も負荷が加わらないときのストロークと定義されます。無負荷のピエゾ素子に電圧を印加した際に測定された変位がフリーストロークです。一方ブロッキングフォースは、ピエゾ素子が発生可能な最大発生力と定義されます。通常このパラメータを測定するには、まず力を加えることなくピエゾ素子を伸長させた後、ピエゾ素子が初期の長さに圧縮されるまで外部から力を加えます。この時測定される力がブロッキングフォースです。この2つの値によってピエゾアクチュエータの剛性(kA)も定義することができます。
.
アクチュエータの剛性はピエゾ素子の性能の判断だけではなく、適切なプリロードの選択にも役立ちます。
いくつかのシステム図を見ながらプリロードの影響とピエゾアクチュエータの性能を見ていきましょう。Figure 2.7は、負荷がかかっていないアクチュエータ(A)と、低剛性の負荷(kL << kAで、kLは負荷の剛性)がかかっているアクチュエータ(B)の動作曲線です。下の式は負荷がかかっているときのアクチュエータのおおよその変位量を示しています。
.
ストロークの減少が若干見られます。これはバネの復元力がピエゾ素子に働き、「自己圧縮」によりアクチュエータ全体のストロークが減少するからです。ストロークと発生力をピエゾアクチュエータの相補的性質として考える場合、低剛性バネはフリーストロークに近い変位を生成しますが、有効発生力はブロッキングフォースから大幅に低くなっていることが分かります。高剛性バネ(kL >> kA)は、全く逆に機能します。この場合の有効発生力は以下の式で得られます。
.
高剛性バネの場合、有効発生力はブロッキングフォースに近づくことが分かります。この条件下では高い発生力を得る代わりにストロークが大幅に減少します。
アクチュエータに一定の質量を負荷としてかけた場合、ストロークに依存しない力 (m*g)がアクチュエータにかかります。この時の動作曲線がFigure 2.8に示されています。一定の質量による負荷力がアクチュエータのゼロポイントにオフセットを与えますが、この力が一定のため、動作曲線は無負荷時のアクチュエータと似ています。よってストロークはフリーストロークに近くなります。一定の物理的な負荷は、初期の圧縮のみでゼロポイントを変位させ、ストロークの範囲は維持します。
実際のシステムでは、特性はバネと一定負荷の組み合わせになります。バネ負荷のプリロードは、定常的なオフセットとともに、ストロークに依存した発生力をもたらします。プリロードには比較的低剛性のバネ(kL ≤ kA/10)を使用しますが、PZTの設計によってはアクチュエータ内に組込まれているものもあります(一般にプリロード付きピエゾ素子と呼ばれています)。プリロードバネの剛性がkA/10を超えてしまうとストロークが大幅に減少しますのでご注意ください(Figure 2.7参照)。例えば、プリロードバネの剛性がアクチュエータと同じだった場合、ストロークは半分に減少します。プリロードはストロークの可動域を減少させるので、欠点のように思われるかもしれません。しかしPZTはセラミックのため、それなりに様々な影響を受けやすい面があります。特に大きな引張力やせん断力に弱いため、システム内でアクチュエータをそれらの応力から分離する必要があります。バネ付きのアクチュエータはピエゾ素子の引張力に対する耐性を大きくし、動的なプッシュプル動作へ応用範囲を広げることができます。
電気的特性
PZTは特に精密ポジショニングシステムとして使用される場合、通常は共振周波数よりも十分に低い周波数(fo)で動作させます。これは印加電圧とPZTの変位の位相差をできるだけ小さく保つためです。よってピエゾシステムは通常DC~数10 kHzの間で動作させます。PZTの共振周波数は、積層ピエゾ素子の長さに依存します。積層が短いと、共振周波数は高くなります。さらに、質量Mの負荷を駆動すれば共振周波数は変化します。この負荷による補正を行った共振周波数は、下の式で計算できます。
.
ここでmはアクチュエータの質量、Mは負荷の質量です。ピエゾ素子が伸びるのに要する時間は約1/(3fo)で、アクチュエータの最大速度は使用している電源のピーク電流に依存します。またアクチュエータの加速応答性は電源のスルーレートに依存します。ピエゾ素子が公称伸長値に伸縮すると、この長さの近傍でアクチュエータが減衰振動します。振動を軽減するためのコントローラを組み込むこともできますが、それによりアクチュエータの応答性は低下します。
共振周波数以下で動作しているアクチュエータはコンデンサのように振舞うので、コンデンサとしてモデル化することができます。アクチュエータの静電容量は、アクチュエータの面積ならびに長さに依存します。また積層構造においては積層数にも依存し、下記の式により求められます。
,
ここで、Cは静電容量、nは積層数、εは誘電率、Aは断面積、そしてhLはピエゾ積層の厚さです。また、PZTの電流リーク率は非常に低くなっております。このようにアクチュエータを静的に使用するシステムにおいては、PZTはエネルギーの使用量や発熱量が大変少ないアクチュエータとなります。しかし動的な用途においては全く違った様相を示し、駆動するのに大変高い電圧を必要とするうえ、発熱に対処する必要があります。これは発熱量(P)とPZTの動作周波数(f)の線形性によるもので、以下の式で与えられます。
.
上の式で、tan(δ)は誘電損失、Cはアクチュエータの静電容量、そしてVppは駆動電圧のピーク間電圧です。ほとんどの標準的なPZTアクチュエータでは、この値は全入力電力の2%程度なのですが、高電圧アクチュエータでは影響が大きくなります。高い周波数や大振幅のシステムではこの比率はさらに大きくなるので、適切に動作させるためには冷却サーボが必要となるかもしれません。
静的動作
アクチュエータの静的動作は比較的分かりやすくなっています。PZTを使用する静的動作には、位置保持だけではなく低速での動的位置決めも含まれます。 アクチュエータをこのように使用する場合には、PZT内に蓄積されている電気的エネルギーと電荷輸送に伴う電流を調べる必要があります。電気的エネルギーは下記の式で与えられます。
.
電流(電荷輸送)は下記の式で与えられます。
.
静的保持力を得るためにドライバが必要なのはPZTからの非常に小さい漏れ電流の補償だけです。低速の位置決めに必要なのも非常に低い電流です。つまり静的または低速の動的動作における必要電流はごくわずかなため、ほとんどのドライバが対応可能です。
精密制御時には、PZTの制御に一般的にサーボ回路が使用されます。この閉ループ回路により、開ループの構成で見られるヒステリシスを除去できます。帯域幅、立ち上がり時間、利得、ユニティゲインをはじめとする重要なパラメータも、主に回路そのもので決まります。回路の速度は比較的遅くても良く、下記で説明するようなドライバの帯域幅の制限は緩和されます。こういった構成はパルスモードでは使用できません。
動的動作
アクチュエータでの連続的な動的動作としては、PZTを正弦波、三角波、または鋸波など、時間的に変化する電圧で駆動するのが一般的です。高い周波数で動作させるとアクチュエータの機械的なサイクル数が多くなるので、寿命や耐久性への配慮が重要になります。堅牢で、長期に渡り正確に機能するシステムを作るには、PZTに対して適切なPZT増幅器を組み合わせる必要があります。増幅器は、PZTの動作に必要な全周波数範囲に渡って、必要な電流を供給しなければなりません。具体的な電流、電圧ならびに周波数の値は、使用するPZTの仕様ならびに駆動信号の種類(正弦波、三角波など)によります。ここでは2つの最も一般的な駆動波形である、正弦波ならびに三角波について見ていきます。
ピエゾ増幅器で一般的に与えられる仕様は平均電流(Iave)です。この値はピエゾ素子の電流要件を満たすのに十分な大きさがなければなりません。連続的な正弦波動作のためのピエゾ素子の平均電流は以下の式で得られます。
.
Cは静電容量、 Vppは駆動電圧のピーク間電圧、そしてfは駆動周波数です。駆動電圧と周波数を決定したら、平均電流が計算できます。ピエゾ増幅器は必要な電圧と電流の両方を供給できなければなりません。ドライバが供給すべき平均電力は以下の式で求められます。
.
単一正弦波パルスにより、アクチュエータをパルスモードで動作させることも可能です。パルスモードでは、ピエゾ素子に必要なピークパワーに着目します。増幅器は少なくとも単一パルスの半周期の間、この電流値を維持できなければなりません。繰り返しモードを使用する場合、ピーク電流の時間平均が平均電流を超えてはいけません。最大電流は以下の式で求められます。
.
このモードでの動作時に必要な最大パワーは下記の式で得られます。
p align="center">
.
駆動源として三角波を使用する場合、IaveとImaxはともに重要です。ドライバは最大電流を供給する必要がありますが、平均電流によって次のような駆動周波数の制限値が決定されます。
.
周波数fで変調する場合、ピエゾドライバー自体の帯域幅に留意することが重要です。特に正弦波と異なる波形を使用するときには一層注意する必要があります。帯域幅が駆動している周波数に近い、もしくは下回る場合、駆動信号に大きなエイリアシングが生じる可能性があります。これを防ぐためには、駆動周波数の約10倍の帯域幅を有するドライバを使用してください。
ピエゾシステムは注入バルブや油圧バルブ、スイッチリレーなどのパルスシステムに組込むこともできます。この時の目標は、PZTの変位時間をできるだけ短くして高速スイッチを作ることです。µsレベルまで短くした応答時間と10000*gに届く加速度が必要な場合があり、そのためにかなりのピーク電流を出力できるドライバが必要になります。前述の通りアクチュエータが公称変位に達するまでの最速時間は1/(3fo)です。ここからパルスシステムにおける変位の最小立ち上がり時間を概算できます。
.
ここでもドライバの帯域幅に制限が生じます。ドライバの立ち上がり時間はPZTの応答時間よりも短くなければなりません。よって共振周波数より2~3倍幅の帯域幅を選ぶことが得策です。
ほかのタブではピエゾ素子の動作や力学の一般理論について触れました。次のステップではその理論を適用し、機能するシステムを構築する方法を学んでいきます。ピエゾ素子は信頼性の高いアクチュエータですが、多くの用途ではできるだけ最小の寸法のものを使用し、制限値近くで動作させたり、あるいはシステム内で不適切に使用されたりもします。ピエゾ素子が機械システムの弱点と見られることがあるのは、不適切な使用によりピエゾアクチュエータ内に亀裂や故障が生じる場合があるからです。ピエゾ素子内の故障モードはすぐに目につくものではないかもしれませんが、長期に渡る信頼性や再現性に影響を及ぼします。
PZTデバイスの取付け方法
ピエゾセラミックは脆弱で、許容張力も高くはありません。アクチュエータに負荷をかける際は、側面への力や横方向の力、あるいは曲げ力などがかからないようにしてください。圧縮方向の外部負荷でも、それが正しく負荷されないと曲げモーメントが発生し、ピエゾデバイス内部に高い引っ張り応力が発生することがあります。このような負荷によりピエゾアクチュエータには簡単に内部応力が発生し、破損の原因となります。破損を防ぐには、力がアクチュエータの変移軸に沿って伝搬するように外部負荷を取り付けることが必要です。負荷はできる限りアクチュエータの取付け面の中心部に均一にかかるようにしてください。平坦な取付け面の付いたアクチュエータに、平坦な面を有する負荷を取り付ける場合は、2つの面が十分に平坦で滑らかであること、また取付けの平行性も十分であることを確認してください。外部負荷の方向とアクチュエータの軸に角度がある場合は、半球状のエンドプレートまたはフレクシャージョイントを装着したアクチュエータを使用して、アクチュエータに対して安全に荷重がかかるようにしてください。また各種要件に合わせてカスタム仕様のマウントも設計可能です(詳細は当社までお問い合わせください)。
PZTアクチュエータを取付ける際に最もよく見かける問題は結合面の不整合です。平面を平面に取付けた際の2面の間のわずかなミスアライメントが、エッジへの圧迫や、局所的な高い圧力を生じさせる場合があります。エッジへの圧迫は多くの場合セラミックPZTを損傷します。Figure 3.1と3.2 では正しい取付け例と誤った取付け例をご紹介しています。

Click to Enlarge
Figure 3.1 PZTアクチュエータの正しい取付け例と誤った取付け例。AではPZTのエッジ部分を強く圧迫し、PZT積層の故障につながる可能性があります。エッジへの圧迫の問題は、半球状プレート(B)や、PKFCUP(C、半球状エンドプレート付きPZTとの組合せ)、またはPZT面に完全に接触するフレクシャーマウント(D)をお使いいただくことで解決可能です。

Click to Enlarge
Figure 3.2 レバーアームを作動する積層PZT。PZTの平坦面を使用すると(A)、エッジ部分が圧迫され積層PZTの故障につながる可能性があります。半球状プレートを使用すると(B)、PZTとの適切な接触が得られます。
プレートの間に取付ける際にはアクチュエータに曲げやせん断の力がかからないように、ボールまたはフレクシャ型の先端をご使用いただくことをお勧めします。当社の多段チップ型ピエゾアクチュエータには平坦または半球状エンドプレートが取付け可能です。またPZT積層の適切な取付けに役立つ円錐形エンドキャップPKFCUPもご用意しております(Figure 3.1参照)。アクチュエータを取り付ける際や動作させる際には過度の締め付けや横方向の力を防ぐことが重要です。
ピエゾアクチュエータの負荷を固定するのに接着剤を用いる場合、取付けには慎重さを要します。80 °C未満で硬化するエポキシ樹脂は安全に使用できるとされています。PZTの接着にはLoctite Hysol 9340などが使用可能です。負荷はPZTのセラミック取付けプレートにのみ付けることが重要です。側面は移動用途には使用しません。従ってPZTに負荷を接着する場合、接着剤は取付けプレートにのみ付けます。余分な接着剤があるとピエゾ素子の側面に流れ落ち、機械的損傷を引き起こす場合がありますのでご注意ください。
「動作理論」のタブではアクチュエータのプリロードの効果について説明しました。プリロードは取付けの際にも利点があります。PZTは引張力の影響を受けやすいので、外付けプリロードを付けることでアクチュエータへの引張力を低減することになり、寿命が延び、信頼性と再現性のある動作に繋がります。
動作環境について
PZTの寿命は動作電圧、周囲温度、ならびに湿度レベルに依存します。標準的なPZTは高湿度環境(>75%)では損傷を受けやすくなります。湿度が高いと、電圧を印加した際にピエゾデバイスの電極で電解反応が発生する可能性が高くなります。この反応により水素が発生し、陰極から陽極に金属の樹状突起が形成されます。電解反応により遊離した水素は、ピエゾ素子と化学反応を起こして劣化させます。形成された樹状突起は陰極と陽極を電気的に接続することになり、その結果として漏れ電流のレベルが上昇します。PZTを高湿度環境において動作させる必要がある場合には、周囲温度と動作電圧を可能な限り低く保ち、密閉構造の積層PZTを使うか、あるいは乾燥空気でのフラッシングができるシステムを使用します。
またPZTは軽い希ガス(例:ヘリウムやアルゴン)や水素の環境下では損傷を受ける場合があります。ガスによって引き起こされる積層PZTの絶縁破壊が損傷の原因になります。そのようなガス中での損傷リスクを低下させるためには、低電圧型のアクチュエータを使用し、可能な限り低い動作電圧で動作させることをお勧めします。
PZTは真空でも動作可能ですが、その際は注意が必要です。PZTアクチュエータによってはアウトガスの放出速度が真空システムに影響を及ぼす場合があり、アクチュエータの使用が制限されることがあります。アウトガスの放出速度はモデルによって異なるので、使用するモデルにおける正しい値を把握しておくことが重要です。また真空のレベルによっては絶縁破壊がより簡単に引き起こされる場合もあります。例えば、空気は大気圧や10-2Torr未満においては強力な絶縁体として機能します。しかし0.01~10 Torrでは絶縁体としての機能を果たさず、絶縁破壊がより簡単に起こりえます。よってPZTは0.01~10 Torrでは動作させるべきではありません。
ドライバの特性
ここまでかなり時間をかけてPZTの設計、機械的&電気的特性、周波数応答などの一般的な性質ついて説明してきました。しかしピエゾは独立して動作するものではありません。PZTアクチュエータは通常外部電源からの電圧により駆動されます。PZTは小さな電圧をそれに相応する小さな変位に変換するため、ドライバからの小さな雑音はアクチュエータによって機械的な変位量に関する雑音となります。よって精密な位置決めのためには、超低ノイズで高安定な線形増幅器のドライバが必要です。機械雑音は以下の式で推定できます。
.
ΔLnoiseはシステムの機械雑音、ΔVnoiseはドライバからの電圧雑音、ΔLmaxは最大電圧(Vmax)における最大変位量です。このため精密な位置決めが必要な用途では、最も雑音の小さいドライバを適切に選択することが不可欠です。
動的な運動制御においては、ドライバはPZTの静電容量を充電するのに十分な電流容量が必要です。そのため高出力なスイッチング電源は雑音振幅が大きい傾向があるにもかかわらず、しばしば使用されることになります。ピーク電流は充電時間に影響しますので、性能を表す数値です。PZTデバイスを変調する際に、電源が必要な電流を供給できない場合、出力信号は歪み、変位量が制限されます。
変調については「動作理論」タブで動的動作について触れたときに部分的に説明しました。様々な変調波形におけるピーク電流は、以下の式を利用して求められます。
正弦波
.
三角波
.
矩形波
.
上記の式においてfは駆動周波数、CはPZTアクチュエータの静電容量、Vppは電源のピーク間電圧、そしてΔtは電圧の立ち上がり時間です。電源は最大電流を出力できるだけでなく、要求された周波数でPZTの静電容量を変調するだけの帯域幅が必要となります。そのため、ピエゾドライバの周波数応答曲線を見る必要があります(Figure 3.3は周波数応答曲線の1例です)。PZTドライバは静電容量によってさまざまな周波数応答曲線を描きます。帯域幅は出力パワーが半分(3 dB)に落ち、大きな位相シフトが現れる周波数と定義されます。正確に信号を再生するための一般的な目安は、与えられたPZTの静電容量に対するドライバの帯域幅の10%以下の周波数でPZTを駆動することです。
もう1つの選択肢は電荷ドライバです。電荷ドライバは電圧の代わりに電荷を用いてPZTアクチュエータの変位を制御します。電荷ドライバには電圧ドライバに勝る利点がいくつかあります。最大の利点の1つはヒステリシスの低減です。電圧制御ではヒステリシスは15%まで大きくなる場合があります。しかし電荷制御を用いると2%まで低減されるので、動的用途における変位の精密さが大幅に向上します。もう1つの利点は、電荷制御による動的剛性が電圧制御に比べて増加することです。これは電荷制御において機械的に発生する電荷は散逸しないことが理由です。なお電荷制御はヒステリシスを低減しますが、高精度な位置決めに用いる場合には、やはり閉ループシステムを使用することをお勧めします。ピエゾ駆動時のヒステリシスの詳細については「動作理論」のタブをご覧ください。
ピエゾ素子の寿命
PZTはせん断力や引張力によって損傷を受けやすいですが、取付け方法に適切に配慮することにより、この故障モードを完全には除去できなくても、低減することは可能です。一般的にPZTは長期間使用しても機械的な故障は発生しません。PZTが適切に取付けられて駆動されれば、何十億回のサイクルを経ても性能は変わりません。PZTは静電容量デバイスなので、印加電圧によって寿命が大幅に左右されます。よってPZTを動作させる際には平均電圧をできるだけ低く保つことが得策です。
ピエゾの寿命について厳密な法則はありません。取付け、駆動、環境、負荷、変調周波数などのすべてが、長期的な動作の安定性に影響を及ぼします。しかし、PZTの動作原理、その限界や力学を理解し、適切に使用することはPZTシステムを何年も確実に動作させるのに役立ちます。
ここではピエゾ素子の寿命を延ばすのに役立つ一般的なガイドラインをご紹介します。適切な取付け方法以外に、ピエゾ素子の寿命に大きな影響を及ぼす要素は動作電圧、周囲温度、ならびに相対湿度の3つです。これら3つの要素がDC電圧を印加したときのPZTの寿命や信頼性に与える影響についての研究がいくつかあります[1~3]。これらの研究結果について簡単に説明します。
印加電圧、温度、または湿度の増加はPZTアクチュエータの寿命を大幅に減らすことが分かっています。例えば、層の厚さが40 µm、80 °Cで動作するピエゾ素子の寿命は、印加電圧が200 Vから400 Vの2倍になると3000時間からたったの70時間に低下します。温度という点では、同じ種類のピエゾ素子が200 Vで動作している場合、温度が80 °C から200 °Cに上昇すると寿命が3000時間から30時間まで低下します[3]。寿命の電圧と温度への依存性についての一般的な関係は式(28)と(29)で表されます。
.
.
tDCはピエゾ素子のDC寿命、Aならびにn1は定数、Wは活性化エネルギ、kはボルツマン定数、Tは温度(ケルビン)、 VDCは印加DC電圧です。式(28)からは、寿命と温度の関係はアレニウスの関係性に似ていることが分かります。確かに寿命の対数は温度の逆数と線形関係にあります。式(29)は寿命と印加電圧の関係を示しています。湿度もピエゾデバイスの寿命に大きな影響を及ぼします。もともと水分は粒界辺りの銀電極のエレクトロマイグレーションによってPZTを劣化させると考えられてきました。しかし後の研究で水分がPZTデバイスのセラミック体にも影響を及ぼすことが分かり、よって原因はエレクトロマイグレーションにのみ限定されるものではないということが分かりました[4]。水分がPZTを破損するメカニズムは複雑でまだ十分に分かっていないため、数式による関係性はいまだ示されていません。しかし相対湿度が10%から80%に上がると、寿命が20~30年減少することが分かっています[3]。
温度制御用の製品としては、当社のTEC素子などのラインナップがございます。また、温度および湿度のモニタには当社のUSB温湿度ロガーをご利用いただけます。
アクチュエータならびにドライバの選択
必要なPZTやドライバは使用用途によって決まります。すべてのケースに使用できる汎用的なPZTはありません。そのためシステムのニーズを評価し、ニーズに合ったPZTとドライバを探す必要があります。下に適切なアクチュエータやドライバを決める上で役に立つ検討項目をいくつかあげました。
- 用途に必要な変位・ストローク
- PZTによって発生する力
- PZTの静的プリロード
- アクチュエータに作用する外的質量
- システムが必要とする変調周波数
- 変調周波数で要求される変位量
- 最大変位量において要求される最大周波数
- アクチュエータの動作速度(立ち下がり、立ち上がり時間)
用途によっては、すべての項目を検討する必要はありません。例えば、精密位置決めや低速の動的システムの場合、アクチュエータは変調されないので最初の3つが最も検討すべき項目です。しかし動的動作のシステムを考える場合には、4~8番目の項目を検討することは適切なドライバの選択に役立ちます(ImaxならびにIaveを計算します)。
ドライバを選択する際には「小さい方がいい」ことを念頭に置いてください。PZTのオーバードライブは損傷につながります。ドライバはPZTの電圧要件に適合するもので、それ以上であってはなりません。PZTの定格を大幅に上回る電圧を出力するドライバは使用しないでください。適切に整合するPZTならびにドライバはシステム動作の効率を高め、寿命を延ばします。
[1] K. Nagata and S. Kinoshita, Jpn. J. Appl. Phys. 34, 5266 (1995)
[2] K. Nagata and S. Kinoshita, Ferroelectrics 195, 163 (1997)
[3] K. Nagata and J. Thongrueng, J. Korean Phys. Soc. 32, S1278 (1998)
[4] W. P. Chen et al., Appl. Phys. Lett. 80, 3587 (2002)
ピエゾアクチュエータの帯域幅に関するチュートリアル
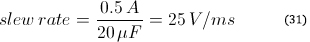
多くの高速用途では、ピエゾ素子の形状変化する速度を知ることが必須となります。 ピエゾコントローラとピエゾ積層の帯域幅は、下記の数値がわかることで、計算で求められるようになります。
- コントローラが供給可能な最大電流量。下記で例としてとりあげられているBPCシリーズのピエゾコントローラでは、この数値は0.5 Aです。
- ピエゾ素子の負荷容量。容量が大きいほどシステムは遅くなります。
- 信号振幅の最適値(V)。この振幅がピエゾ素子の伸長寸法を決定します。
- ドライバの最大帯域幅。この数値は駆動負荷に依存しません。
出力コンデンサを駆動する際には、帯電と放電にそれぞれ電流が必要です。 帯電電荷の変化dV/dtはスルーレートと呼ばれています。 静電容量が大きいほど、必要とされる電流量は大きくなります。

例えば100 µmのピエゾ積層において静電容量が20 µFで、最大電流量が0.5 AのBPCシリーズピエゾコントローラで駆動されるとき、スルーレートは下記の数式で求められます。

したがって電圧が瞬間的に0 V から75 Vに変化するとき、出力電圧が75 Vに達するには3 msかかります。
注記: これらの計算式においては、ドライバの最大帯域幅は計算によって得られる帯域幅よりもずっと大きな値であり、ドライバの帯域幅は制限要因とならないことを前提としています。 なおこれらの数式が、開ループシステムにしか適用できない点にご注意ください。 閉ループモードでは、フィードバックループの応答の遅延がさらに帯域幅を制限します。
正弦波信号
システムの帯域幅は、通常は所定の振幅の正弦信号に対するシステムの応答により規定します。 正弦信号のピーク振幅がA、ピーク‐ピーク電圧がVpp、そして周波数がfの条件で駆動されているピエゾ素子については、以下の数式が成立します。

Figure 4.1は、時間の経過とともに変化する電圧を表しています。 スルーレートの最大値、または電圧の最大の変化は、t = 2nπ, (n=0, 1, 2,...)が成立する時点となり、Figure 4.1では点 aで示されています。
.
式(30)から下記が導出できます:
.
それゆえに下記が成立します:
.
上記の例では最大電圧(75 V)での帯域幅は下記の値になることがわかります:
.
ピエゾが小さく、静電容量が1/10になると、結果は10倍向上して約1060 Hzとなります。 また、積層が100 µmのままであっても、ピーク‐ピーク電圧が7.5 V(10% の最大振幅値)であれば、結果は同様に10倍向上して約1060 Hzとなります。
三角波信号
ピエゾアクチュエータが三角波で駆動される場合、最大電圧がVpeakで、最小電圧が 0の時、スルーレートは勾配もしくは下記に等しくなります:

あるいはf = 1/Tであるので、下記が導出できます:
.
矩形波信号
ピエゾアクチュエータが矩形波で駆動される場合、最大電圧がVpeakで、最小電圧が 0の時、スルーレートが最小の立ち上がりと立ち下がりの数値を制限します: この条件では、信号の立ち上がりまたは立ち下がりの途中では、スルーレートは勾配に等しくなります。 trが最小立ち上がり時間であるとき、下記の数式が成り立ちます:

あるいは
.
| Posted Comments: | |
Bradley Kingsley
 (posted 2023-03-30 12:54:57.46) From the analytical solutions solved for displacement on the PK2JA2P1 Piezo stack, the claimed displacement is 8 um at 75 volts and no load. I am getting 8 ustrain, not 8um. Due to solving strain=d*E, for free displacement. Please comment on if errors are in my calculation.
Thank you,
Bradley Kingsley
Mechanical Engineering Senior NAU
This info will be used for educational purposes only, a team project for my adaptive materials course. cdolbashian
 (posted 2023-04-13 10:32:22.0) Thank you for contacting Thorlabs. We use this equation "Δh=n*d33*V" to estimate the displacement. Here n is the number of stacks, d33 is the piezoelectric coefficient, V is the applied voltage. For PK2JA2P1, n=188, d33=710 pC/N, V=75 V, and the estimated displacement is calculated to be 10 um. The 8 um displacement of PK2JA2P1 we post on the website is a measurement data. The difference comes from some inactive area around the actuator’s edge. Runmin Li
 (posted 2022-12-09 09:52:01.84) Does Thorlabs have adhesives to adhere Piezo and mirror? jdelia
 (posted 2022-12-15 08:16:44.0) Thank you for contacting Thorlabs. For an application like this we would suggest using an epoxy that cures at a temperature lower than 80 °C (176 °F). Adhesives such as our 353NDPK or TS10 epoxies would work. YUSUF SAYGILI
 (posted 2021-08-23 23:33:59.5) Hello,
Do you produce custom-made piezo stacks?
Regards YLohia
 (posted 2021-08-27 02:03:14.0) Thank you for contacting Thorlabs. Custom products can be requested by emailing your local Thorlabs team (in your case, Europe@thorlabs.com). We will discuss your request directly. Newton Baumgart
 (posted 2021-02-11 15:31:39.657) I am looking for an ultrasonic transducer that can be used for cleaning the inside of a cavity sized approximately 250cc . instead of clamping the transducer to the side of a cleaning tank it is necessary to immerse the transducer into the cavity filled with cleaning fluid. Size of transducer between 5 and 15mm and total thickness less than 5mm.
driving voltage across the transducer to be less than 50 volts. Are such small transducers available?
regards. YLohia
 (posted 2021-02-18 10:11:24.0) Thank you for contacting Thorlabs, our Ultrasonic Piezo Ring Chips can be used for ultrasonic cleaning applications. You may need an op-amp for the drive signal drive voltage. Custom piezos can be requested by using the "Request Quote" button above. We will discuss the possibility of offering this directly. Joseph Natal
 (posted 2020-04-16 15:48:01.873) I'm wondering how big of a role the mount plays in response time of the piezos, vs. just the capacitance of the actuator. I have a Ø2" Polaris® Kinematic Mirror Mount, 2 Piezoelectric Adjusters, and want to know how accurately I can determine the bandwidth of the tip/tilt angle. llamb
 (posted 2020-04-20 11:24:59.0) Thank you for your feedback. The mount and driving conditions will indeed play a role in the response of the overall mount, compared to the individual piezo elements. The POLARIS-K2S2P's piezo components each have a capacitance of 0.35 µF, so considering a sinusoidal signal from a 60 mA current driver like our MDT694B with the full 150 V range, the piezo element alone has an estimated max frequency of about 360 Hz using our Tutorial equations. However, while we have not explicitly tested all of our Polaris mounts for bandwidth or resonance, we do have some test data for the POLARIS-K2S2P specifically. Over a scan range of ±50 urad, we found the POLARIS-K2S2P to have small resonances at approximately 130 Hz and 198 Hz, and a large resonance around 370 Hz. Because of these smaller frequency resonances when driven in the Polaris mount assembly, we do not recommend exceeding about 100 Hz when driving the Polaris piezo mounts with medium to large angular ranges. I have reached out to you directly to discuss your application further. Greg Colby
 (posted 2019-07-18 08:45:58.793) Would you be able to send me information on how to cool the Piezos? I didn't see anything about heatsinking or any type of convective cooling tips/tricks, even what bond could be used between the piezo and the heata transfer mechanism. AManickavasagam
 (posted 2019-07-24 11:07:42.0) Response from Arunthathi at Thorlabs: Thanks for your query. For heat dissipation of our piezo products, we recommended using the air cooling system, or we can use the Thorlabs TEC products (Thermoelectric Cooler Elements). We offer a line of single-stage thermoelectric coolers, which can maintain temperature differentials of at least 73 °C for a 50 °C hot surface. Our dual-stage TEC (item # TECD2) provides a larger temperature differential between the hot and cold surfaces of the device. For the bond between piezo and heat transfer mechanism, we using Thorlabs 353NDPK or TS10 epoxy, Loctite Hysol 9340 is also usable. Jonathan Goldstein
 (posted 2019-06-06 08:18:12.39) Hi Thorlabs,
I have the following components which I would like to simulate using the Kinesis simulator (1.14.12.0) and Kinesis:
(1) A Strain Gauge KSG101 (S/N 59000647)
the strain gauge is intended to provide feedback to the piezo controller
for closed-loop control.
(2) A 20-micron translation piezo stage NFL5DP20 (S/N 90227)
(3) A Piezo controller KPZ101 (S/N 29501835)
I see the KSG101 and KPZ101 on the drop-down list of simulations provided by the Kinesis simulator. I do not see any piezo stage on the list. I see 42 different simulations listed, but not mine.
I am just trying to simulate a simple closed-loop with these three components.
Do you have any advice?
Could it be that one of the other 40 items on the list is a piezo stage that can "substitute" for mine? I am not familiar with them at all.
Thanks,
Jonathan Goldstein
Cincinnati, Ohio rmiron
 (posted 2019-06-07 04:46:20.0) Response from Radu at Thorlabs: Unfortunately, it is not possible to properly simulate a closed-loop piezo system. You can simulate having a KPZ101 and a KSG101 connected to the PC, you can also set the former to act as if it is operating in closed-loop, but you can't tell the two simulated controllers that they are virtually controlling the same piezo stack.
You have also correctly noticed that there are (almost) no piezo stages on the list. That is because there are no significant differences between driving different piezo stacks. The only aspects that change are their travel range, the voltage which corresponds to the max position, their blocking force and their noise characteristics. All of these parameters can be simply set from Kinesis' GUI. The only piezo stages that can be selected, other than piezo inertia motor stages, are the ones driven by PPC101: LPS710 and PFM450.
The differences between motorised stages are significantly greater, which is why the serial commands reported by the Kinesis Simulator differ from stage to stage. That is why you can select which motorised stage is being employed. |
Products Home








ピエゾ素子