小型デジタルサーボコントローラー

- Digital Servo Controller with 100 kHz Bandwidth
- Servo Lock, Peak Lock, and Ramp Function Modes
- Ideal for Frequency Stabilizing Lasers
- Compact Housing with a Touchscreen Interface
Application Idea
A DSC1 Compact Digital Servo Controller can be used to lock an interferometer to the peak or side of a single interference fringe by taking an input from a photodiode measuring the interferogram. The output of the DSC1 controller can then be passed to a piezo driver controlling a dynamic arm of the interferometer.
DSC1
Compact Digital Servo Controller
(Power Supply Sold Separately)

Please Wait
| Key Specificationsa | |
|---|---|
| System Bandwidth | DC to 100 kHz |
| Input-to-Output -180 Degree Frequencyb | >58 kHz (60 kHz Typical) |
| Nominal Input Sampling Resolution | 16 Bit |
| Average Noise Floor | -120 dB V2/Hz |
| Peak Noise Floor | -105 dB V2/Hz |
| Input RMS Noisec | 0.3 mV |
| Maximum Input Voltage | ±4 V |
| Maximum Output Voltaged | ±4 V |
| Dimensions (L x W x H) | 129.8 mm x 91.3 mm x 21.6 mm (5.11" x 3.59" x 0.85") |
用途例
- 単一周波数レーザまたは共振器のロック
- 干渉計の安定化
- フーリエ変換分光法
- 飽和吸光分光法
- ダイクロイック原子蒸気レーザーロック(DAVLL)
- アクティブビームポインティングの安定化
- レーザーパワーの安定化
- レーザの繰返し周波数ロック
- 外部共振器半導体レーザ(ECDL)
- ファイバ位相または光路長の安定化
- CW SHG共振器用のエンハンスメント共振器ロック
- AOMによる強度安定化(ノイズ除去)
- モーションコントロール

Click to Enlarge
Figure 1.1 デジタルサーボコントローラ用ソフトウェアは、コントローラDSC1用のシンプルで使いやすいインターフェイスです。入力電圧は周波数領域または時間領域で表示できます。
Figure 1.2 デジタルサーボコントローラのタッチパネル式インターフェイスにより、Servo Lock、Peak LockおよびRampモードのフル機能をご使用いただけます。特長
- 最大帯域幅100 kHzの高速PID制御
- 周波数安定化レーザに対応したレーザーロックボックス
- USB Type-Cで駆動する幅130 mmの小型筐体
- タッチパネルからすべての機能にアクセス可能(詳細は「タッチパネル」 タブ参照)
- 3つのモード
- Servo Lock:規定の入力電圧にロック
- Peak Lock:ディザロック(ピークロッキング、Extremum Seeking制御、ロックイン安定化とも呼ばれます。)
- Ramp:出力電圧を設定範囲にわたりリニアに掃引
- デジタルサーボコントローラ用ソフトウェアを使用して信号の追加解析が可能(「ソフトウェア」タブからダウンロードいただけます)
- Servo Lockモード:入力電圧を時間領域または周波数領域で表示
- Peak Lockモード: 復調された入力電圧を時間領域または周波数領域で表示
- Rampモード:入力電圧をオシロスコープのようにランプ出力電圧の関数として表示
- デジタルサーボコントローラのフルコントロールに使用可能
小型デジタルサーボコントローラDSC1は、ユーザが選択した制御アルゴリズムによって決定されるリアルタイム電圧フィードバックを提供します。そのフィードバックにより、入力電圧信号に対して光学システムをロックまたは安定化するような設計となっています。帯域幅は100 kHz、入出力電圧範囲は±4 Vで、電流変調レーザ、ピエゾアクチュエータ、音響光学変調器(AOM)、電気光学変調器(EOM)、ファイバーストレッチャ、ボイスコイル、高速ステアリングミラーなどの高周波デバイスをアクティブにロックすることができます。
このコントローラには、補完的な機能を備えた3つのモード(Servo Lockモード、Peak Lockモード、Rampモード)があります。
Servo Lockモードを使用する場合、出力電圧をPID(比例、積分、微分)アルゴリズムで変調し、設定された入力電圧を維持することができます。アルゴリズムのすべてのパラメータは、特定のシステム用に調整することができます。例えば、フォトダイオードでパワーを測定し、フォトダイオードからの信号をサーボコントローラに入力し、サーボコントローラからの出力で音響光学変調器(AOM)、電気光学変調器、LN変調器などの強度変調器を制御することで、システムの出力強度を安定化させることができます。サーボコントローラのセットポイントを変更すると、システムはその新しいセットポイントに調整され、維持されます。 さらに、サーボコントローラのServo Lockモードを使用して、サイドフリンジロックでレーザの周波数を安定させることができます。サイドフリンジロックでは、ファブリペロー共振器からの共振ピーク、または原子や分子からの吸収ピークの途中にセットポイントを置くことができます。
Peak Lockモードでは、ディザロック(Extremum Seeking制御またはロックイン復調サーボとしても知られています)を使用して、入力電圧の局所的な最大値または最小値にシステムをロックします。これは、選択した周波数(ディザ周波数)でシステムを変調し、その信号をデジタル復調して、最小化できる誤差関数を作成することによって行われます。入力電圧の最大値または最小値にシステムをロックすることにより、システムの性能を厳密に制御することができます。例えば、レーザの周波数をアセチレンのような希薄ガス中の分子吸収線にロックしたり、レーザーパワーのドリフトや変動に対して固有の耐性を持つファブリペロー共振器の最大透過モードにロックすることができます。詳細については「レーザのロック」タブをご覧ください。
Rampモードでは、デジタルサーボコントローラは、設定した範囲にわたって出力電圧をリニアに掃引し、その結果得られた入力信号をオシロスコープのように電圧の関数として表示することができます。これにより、干渉計からのインターフェログラムのような特徴を解析できるだけでなく、印加電圧範囲におけるシステムの応答を直接確認することができます。例えば、サーボコントローラがガス吸収セルを通過するレーザの周波数を掃引すると、ガスの透過スペクトルを観察することができます。
使用例
デジタルサーボコントローラによって制御されるピエゾ駆動のミラーを備えた干渉計をロックするような用途では、インターフェログラムを測定するフォトダイオードからの信号がサーボコントローラに入力されます。サーボコントローラをServo Lockモードに設定すると、干渉計は干渉縞の1本のフリンジにおける正または負の傾きの任意の閾値にロックされます。サーボコントローラをPeak Lockモードに設定すると、干渉計はインターフェログラム内の1本の干渉縞のピークまたはバレーにロックされます。サーボコントローラをRampモードに設定すると、インターフェログラムを直接観察することができます。
タッチパネル
小型デジタルサーボコントローラDSC1のタッチパネル式インターフェイスは、3つのモードすべてでフル機能をご使用いただけます。これには、制御アルゴリズムの実行と停止、パラメータの変更、時間の関数としての入力電圧のグラフの表示が含まれます。詳細については、「タッチパネル」タブをご覧ください。
ソフトウェア
デジタルサーボコントローラDSC1は、デバイスの左側にあるUSB Type Mini-Bポートを使用してPCに接続し、ソフトウェアを用いて制御できます。ユーザーフレンドリーなインターフェイスで、制御スキームの開始と停止、制御パラメータの変更、ロックパフォーマンスをモニタするための制御を行うことができます。時間領域と周波数領域の両方でグラフ表示できます。CSLソフトウェアの詳細については「ソフトウェア」タブをご覧ください。
電源
デジタルサーボコントローラDSC1は、デバイス左側にあるUSB Type-Cポートから電源供給できます(「ピン配列」タブ参照)。USB Type-A - USB Type-Cの電源ケーブルが付属していますが(「発送品リスト」タブ参照)、電源は別売りです。
接地
低周波数での測定出力時に不規則な動作を引き起こす可能性がある接地ループを避けるようご注意ください。接地ループの経路が形成される可能性を避けるため、USB Type-Cの電源ポートはデバイスの接地面に接続して、USB Type-Mini-Bのデータポートはコントローラをコンピュータの接地面から絶縁するために浮かせます。コントローラDSC1を実験セットアップに統合する際の接地ループのリスクを軽減するための最良の方法については、マニュアルをご覧ください。

Click to Enlarge
Figure 2.1 小型デジタルサーボコントローラDSC1の寸法
| Item # | DSC1 |
|---|---|
| Operating Specifications | |
| System Bandwidth | DC to 100 kHz |
| Input to Output -180 Degree Frequencya | >58 kHz (60 kHz Typical) |
| Nominal Input Sampling Resolution | 16 Bit |
| Nominal Output Resolution | 12 Bit |
| Maximum Input Voltage | ±4 V |
| Maximum Output Voltageb | ±4 V |
| Maximum Input Current | 100 mA |
| Average Noise Floor | -120 dB V2/Hz |
| Peak Noise Floor | -105 dB V2/Hz |
| Input RMS Noisec | 0.3 mV |
| Input Sampling Frequency | 1 MHz |
| PID Update Frequencyd | 500 kHz |
| Peak Lock Modulation Frequency Range | 100 Hz - 100 kHz in 100 Hz Steps |
| Input Termination | 1 MΩ |
| Output Impedanceb | 220 Ω |
| Dimensions | 129.8 mm x 91.3 mm x 21.6 mm (5.11" x 3.59" x 0.85") |
| Electrical and Data Specifications | |
| Supply Voltage from USB | 4.75 - 5.25 V DC |
| Supply Current | 750 mA (Max) |
| Temperature Rangee | 0 °C to 70 °C |
タッチパネル
小型デジタルサーボコントローラDSC1のタッチパネルにより、Servo Lock、Peak Lock、Rampの3つのモードのすべてのパラメータを制御できます。画面右下のSTOP/RUNスイッチ(トグルスイッチ)で出力の開始、停止を切り替えられます。さらに、グラフには入力電圧が時間の関数として表示され、Servo Lockモードではセットポイント電圧が表示されます。
タッチパネル上の略語一覧:
- PV:プロセス変数、ボルト
- SMB入力端子を介してコントローラDSC1の入力部に供給される電圧
- OV:出力変数、ボルト
- SMB出力端子を介してコントローラDSC1から出力される電圧
- S:セットポイント(V)
- O:DCオフセット(V)
- P:比例係数
- I:積分係数(1/sec)
- D:微分係数(sec)
- M:変調周波数乗数(×100Hz)(例えば、M=5の場合、変調周波数は500ヘルツ)
- A:振幅(V)
- Peakモード:正弦波変調電圧の振幅
- Rampモード:リニア電圧ランプの振幅、-Aから+Aまで
- K:Peak Lock積分係数
Servo Lockモード
Servo Lockモードを選択した場合、タッチパネルを使用してサーボロック機能のすべてのパラメータを設定することができます。画面下のP、I、Dボタンを押すと、PID計算への寄与が有効または無効になります。画面右の数値を押すと係数を変更できます。P、I、D係数の符号を変えると、正の勾配でのロックから負の勾配でのロックに切り替わり、その逆も可能です。セットポイントとDCオフセットは、画面上の数値を押すことで変更できます。金色の線は入力電圧、緑色の線はセットポイントを示しています。
Figure 3.1 小型デジタルサーボコントローラDSC1のタッチパネルインターフェイス。上の画像ではServoモードが表示されています。
Peak Lockモード
Peak Lockモードを選択した場合、タッチパネルを使用してピークロッキング機能のすべてのパラメータを設定することができます。画面右の数値を押すとM、O、A、Kの係数を変更できます。Kの符号を変えると、ピークロックからバレーロックに切り替わり、その逆も可能です。金色の線は復調された入力電圧を示し、これはロッキングアルゴリズムにおけるエラー信号を意味します。
Figure 3.2 小型デジタルサーボコントローラDSC1のタッチパネルインターフェイス。上の画像ではPeakモードが表示されています。
Rampモード
Rampモードを選択した場合、タッチパネルを使用してRamp機能のすべてのパラメータを設定することができます。OとAの値を押すと、係数を変更することができます。金色の線は、ランプ出力電圧(Figure 3.3では-3 V~3 V)の関数としての入力電圧を示しています。タッチパネル上のグラフはダウンサンプリングされており、また、システム応答の高速な特性が表示されない場合があることにご注意ください。PCソフトウェアのインターフェイスではより精細および高速に見ることができます。
Figure 3.3 小型デジタルサーボコントローラDSC1のタッチパネルインターフェイス。上の画像ではRampモードが表示されています。| Recommended System Requirements | |
|---|---|
| Operating System | Windows® 10 (Recommended) or 11, 64 Bit Required |
| Memory (RAM) | 4 GB Minimum, 8 GB Recommended |
| Storage | 300 MB (Min) of Available Disk Space |
| Screen Resolution | 1200 x 800 Pixels (Min) |
| Interface | USB 2.0 |
小型デジタルサーボコントローラDSC1用ソフトウェア
デジタルサーボコントローラ用ソフトウェアは、コンピューターインターフェイスを介して基本的な機能を制御できるように設計されており、コントローラを使用するための解析ツールの拡張セットをご使用いただけます。例えば、GUIには入力電圧を周波数領域で表示するグラフが含まれています。さらに、データを.csvファイル形式でエクスポートすることもできます。カスタム開発用にPython SDKもご用意しています。
このソフトウェアでは、すべてのパラメータと設定を制御して、Servo、Peak、Rampの各モードでデバイスを使用できます。システム応答は、入力電圧、エラー信号、あるいはその両方として、時間領域または周波数領域で表示されます。詳細はマニュアルをご覧ください。
Servoタブでは、Servoモードでデバイスを操作することができますが、そこでは、デバイスに内蔵されているタッチパネルで行う制御や表示よりも高度な操作が可能です。このタブでは、プロセス変数を時間領域または周波数領域で表示することができます。システム応答は、プロセス変数、エラー信号、またはその両方として表示されます。エラー信号は、プロセス変数と設定値の差です。P、I、D係数を含むパラメータは、このインターフェイスから調整できます。 P、I、D係数の符号を変えると、正の勾配でのロックから負の勾配でのロックに切り替わり、その逆も可能です。

Click to Enlarge
Figure 4.1 デジタルサーボコントローラのソフトウェアインターフェイスをServoモードで使用すると、ロッキングパラメータを制御し、入力電圧を時間領域または周波数領域のいずれかで表示することができます。
Peakタブでは、内蔵のタッチパネルで操作するPeakモードと同じ機能をご使用いただけますが、さらに、システムからのリターン信号の特性も可視化できます。このタブに切り替えると、接続されたデバイスはPeakモードでの動作に切り替わります。正弦波変調電圧の振幅A、ピークロック積分係数Kなどのパラメータを変更できます。Kの符号を変更することで、コントローラが入力電圧の局所的なピークにロックするか、バレーにロックするかを決定します。
Servo Lockモードと同様に、復調された入力電圧は時間領域または周波数領域のいずれかで見ることができます。

Click to Enlarge
Figure 4.2 デジタルサーボコントローラのソフトウェアインターフェイスをPeakモードで使用すると、ロッキングパラメータを制御し、入力電圧を時間領域または周波数領域のいずれかで表示することができます。
Rampタブでは、内蔵のタッチパネルで操作するPeakモードと同じ機能をご使用いただけます。このタブに切り替えると、接続されたデバイスはRampモードになります。
入力信号はランプ電圧の関数としてプロットされ、オシロスコープと同じ方法でシステムの応答をモニターすることができます。X軸は出力ボルトとして設定されているため、これを利用して電圧範囲のどこでロックを設定するべきかを決定できます。

Click to Enlarge
Figure 4.3 Rampモードのデジタルサーボコントローラのソフトウェアインターフェイスは、電圧掃引の全パラメータを制御し、システムの応答を電圧の関数として表示することができるため、別途オシロスコープを用意する必要がありません。
デジタルサーボコントローラDSC1のピン配列
信号入出力部
SMBオス型

この入力部は、最大電圧±4 V、最大電流100 mAの信号に対応しています。内部で1 MΩのインピーダンスで終端されています。これよりも低い入力インピーダンスは、貫通型BNCターミネータを追加することで得られます。
電源入力部
USB Type C

USB Type C - Type A入力ケーブルが付属します。
PC接続
USB Mini-B コネクタ

USB Type Mini-B - Type-Aデーターケーブルが付属します。

Click to Enlarge
小型デジタルサーボコントローラDSC1の右側のパネル

Click to Enlarge
小型デジタルサーボコントローラDSC1の左側のパネル
| Left Panel | |
|---|---|
| Call Out | Description |
| 1 | Power Input (USB Type-C) |
| 2 | Computer Connection (USB Type Mini-B) |
| Right Panel | |
|---|---|
| Call Out | Description |
| 1 | Signal Input, ±4 V (SMB Female) |
| 2 | Signal Output, ±4 V (SMB Female) |

Click to Enlarge
Figure 6.1 小型デジタルサーボコントローラに含まれるコンポーネント
小型デジタルサーボコントローラに含まれるコンポーネント
レーザーロック
デジタルサーボコントローラを用いたレーザ周波数ロックの方法を3例ご紹介します。
レーザの周波数を原子や分子の吸収線にロックして安定化することができます。Figure 7.1のセットアップでは、狭線幅レーザULN15TKからのレーザ光をアセチレンで満たした基準ガスセルに入射し、その透過光を測定しています。差分ディテクタ(PD)を用いて入射光からアセチレンセルの透過光を差し引いたスペクトルを観測することで、アセチレンの狭い遷移線に比例した信号が得られます。 フォトダイオードからの出力はデジタルサーボコントローラ(DSC)に送られ、ロックするための信号が生成されます。この信号はレーザの変調信号入力部(Modulation Input)に送られ、レーザ周波数は吸収信号のピークに対して固定された周波数を維持するように制御されます。デジタルサーボコントローラをPeak Lockモードで使用すると、レーザの周波数を吸収線のピークにロックすることができます。Servo Lockモードで使用すると、当社の周波数ロックレーザで使用されているサイドフリンジロックのように、吸収線の片側の任意の高さにロックできます。分子吸収線への周波数ロックの詳細については、周波数ロックレーザの製品紹介ページにおける「周波数のロック」タブをご覧ください。

Figure 7.1 フォトダイオード(PD)とデジタルサーボコントローラDSC1を用いてレーザの周波数を分子の吸収線にロックする制御システム。
ファブリペロー光共振器とデジタルサーボコントローラを用いて、レーザの周波数安定化と線幅の狭窄化行うことができます。Figure 7.2のセットアップでは、単一周波数レーザからの光をPDH(Pound-Drever-Hall)システムおよびファブリペロー共振器に入射しています。PDHシステムは、共振器からの反射光を検出してエラー信号を生成します。このエラー信号には、共振器の透過スペクトルがピークとなる周波数で鋭くゼロクロスする信号が含まれるため、それを用いて周波数を強力にロックすることができます。PDHからのエラー信号は、Servo Lockモードに設定されたデジタルサーボコントローラ(DSC)に送られ、DSCはそれをもとに半導体レーザードライバへの制御信号を生成して変調信号入力部(Modulation Input)に入力します。この制御ループにより周波数はレーザ共振器の透過スペクトルのピークにロックされます。

Figure 7.2 PDHシステムとデジタルサーボコントローラDSC1を用いてレーザの周波数を光共振器にロックする制御システム。
ファブリペロー共振器を用いたレーザ間の周波数安定度の転写
ファブリペロー共振器(FP共振器)は、1台のレーザの周波数安定度を別のレーザに転写するためのトランスファー共振器として使用することもできます。Figure 7.3のセットアップでは、原子(または分子)スペクトルに安定化された参照用レーザからの光をPDHシステムに入射し、その出射光をチューナブルなファブリペロー共振器に入射しています。PDH内のフォトダイオードからのエラー信号は、図の上側のデジタルサーボコントローラ(DSC)に送られ、ピエゾアクチュエータ(PZT Driver)を介してファブリペロー共振器の共振器長の制御に使用されます。これで共振器の共振周波数を参照用レーザの周波数にロックできます。この制御ループを閉じることで、共振器のすべての共振周波数は、参照用レーザで使用されている原子の吸収スペクトルに安定化されたことになります。
参照用レーザの周波数安定度を転写する従属レーザの周波数(波長)は、一般に参照用レーザの周波数と大きく異なります。このレーザ光をPDHで安定化されたファブリペロー共振器に入射し、その透過光をフォトダイオード(PD)で検出します。フォトダイオードの出力は図の下側のデジタルサーボコントローラ(DSC)に送られ、そのDSCは共振器の透過光が最大になるように従属レーザを制御します。この例では、サイドフリンジロックまたはピークロックのどちらの方法でも、従属レーザの周波数をPDHで安定化された共振器にロックできます。このように、従属レーザの光をPDHで安定化された共振器に入射し、その透過光が最大になるように制御することで、原子スペクトルに安定化された参照用レーザの周波数安定度を従属レーザに転写できます。

Figure 7.3 PDHシステム、チューニング可能なピエゾ(PZT)付きファブリペロー共振器(FP共振器)、フォトダイオード(PD)、2台のデジタルサーボコントローラDSC1を用いて、レーザ間で周波数安定度を転写する制御システム。

Click for Details
Figure 8.1 分子ガス吸収線を用いたレーザー安定化の実験セットアップ
ガス吸収線レーザーの安定化
当社では光スペクトル純度に優れた低ノイズレーザをご用意しています。ただし、光時計や高分解能分光法などの用途では、ノイズやドリフトをさらに抑制するために、アクティブな電子フィードバックが必要となる場合があります。「レーザーロック 」タブで説明したように、レーザの周波数を安定させるには様々な手段があります。Figure 8.1では、分子吸収線を利用したロックスキームを使用して、レーザDFB15TKを基準となるアセチレン蒸気吸収線にロックし、周波数を安定化させた例を示しています。
レーザ光は、一方のアームが基準となり、もう一方のアームが蒸気セルを通過するように分岐します。各アームからの光は、デジタルサーボコントローラDSC1に信号を供給する差分フォトディテクタの2つのフォトダイオードに集光されます。 デジタルサーボコントローラは、レーザの周波数を吸収線のピークにロックするPeak Lockモード、または吸収線の片側の任意の高さにロックするServo Lockでご使用いただけます。いずれの場合も、DSC1 は信号を生成し、それを DC結合電流変調ポートに供給することで、揺らぎを補正し、レーザの周波数を吸収線に対して固定します。Table 8.1では、Figure 8.1に示すアセチレン吸収線へのレーザーロックを構成するために使用した製品のリストがご覧いただけます。
| Table 8.1 Gas Absorption Line Laser Locking Demo Components | |||||
|---|---|---|---|---|---|
| Item # | Description | Qty. | Item # | Description | Qty. |
| DFB15TK | Turnkey Low-Noise DFB Laser System, 1550 nm, 100 mW, PM Fiber, FC/APC | 1 | Ø1" UVFS Plano-Convex Lens, SM1-Threaded Mount, f = 50.0 mm, ARC: 1050 - 1700 nm | 2 | |
| In-Line Fiber Polarizer, 1550 ± 50 nm | 1 | NDUV05A | SM1-Threaded Mount, Ø25 mm UVFS Reflective ND Filter, OD: 0.5 | 1 | |
| 1550 nm, f = 11.32 mm, NA = 0.24 FC/APC Fiber Collimation Package | 1 | PDB250C | Switchable Gain Free-Space Balanced Photodetector, InGaAs, 3 mm Active Diameter, 800 - 1700 nm | 1 | |
| AD11NT | Ø1" Unthreaded Adapter for Ø11 mm Cylindrical Components | 1 | DSC1 | Compact Digital Servo Controller, 100 kHz Bandwidth | 1 |
| Ø1/2" Zero-Order Half-Wave Plate, Ø1" Mount, 1550 nm | 1 | BFCT | Passive Component Fiber Tray | 1 | |
| RSP1 | Rotation Mount for Ø1" (25.4 mm) Optics | 1 | PH1.5 | Ø1/2" Post Holder, Spring-Loaded Hex-Locking Thumbscrew, L = 1.5" | 6 |
| PBS124 | 1/2" Polarizing Beamsplitter Cube, 1200 - 1600 nm | 1 | CF125C | Clamping Fork for Ø1.25" Pedestal Bases, 1.24" Counterbored Slot | 13 |
| LB1 | Beam Block | 1 | BE1 | Ø1.25" Studded Pedestal Base Adapter, 1/4"-20 Threads | 6 |
| BSW12 | Ø1" 50:50 UVFS Plate Beamsplitter, Coating: 1.2 - 1.6 µm, t = 5 mm | 1 | KS1 | Ø1" Precision Kinematic Mirror Mount | 3 |
| GCA50 | 50.0 mm Long | 1 | KM100B | 1.92" x 1.92" Kinematic Platform Mount | 1 |
| GCH25-75 | 1 | PM4 | Large Adjustable Clamping Arm, 6-32 Threaded Post | 1 | |
| PF10-03-M01 | Ø1" Protected Gold Mirror | 3 | RS2P4M | Ø25.0 mm Pedestal Pillar Post, M4 Taps, L = 50 mm | 1 |
| KM1CE | Ø1" Clear-Edge Kinematic Mirror Mount | 2 | RS2P8E | Ø1" Pedestal Pillar Post, 8-32 Taps, L = 2" | 6 |
| NDC-25C-2 | Unmounted Continuously Variable ND Filter, Ø25 mm, OD: 0.04 - 2.0 | 1 | TR1.5 | Ø1/2" Optical Post, L = 1.5" | 6 |
| NDC-PM | Post Mount Assembly for Round, Unmounted, ND Filters | 1 | LMR1 | Lens Mount with Retaining Ring for Ø1" Optics | 2 |
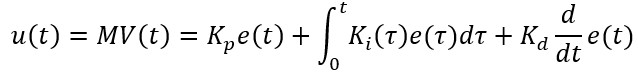
PID Basics
The PID circuit is often utilized as a control loop feedback controller and is commonly used for many forms of servo circuits. The letters making up the acronym PID correspond to Proportional (P), Integral (I), and Derivative (D), which represents the three control settings of a PID circuit. The purpose of any servo circuit is to hold the system at a predetermined value (set point) for long periods of time. The PID circuit actively controls the system so as to hold it at the set point by generating an error signal that is essentially the difference between the set point and the current value. The three controls relate to the time-dependent error signal. At its simplest, this can be thought of as follows: Proportional is dependent upon the present error, Integral is dependent upon the accumulation of past error, and Derivative is the prediction of future error. The results of each of the controls are then fed into a weighted sum, which then adjusts the output of the circuit, u(t). This output is fed into a control device, its value is fed back into the circuit, and the process is allowed to actively stabilize the circuit’s output to reach and hold at the set point value. Figure 9.1 illustrates the action of a PID circuit. One or more of the controls can be utilized in any servo circuit depending on system demand and requirement (i.e., P, I, PI, PD, or PID).
Figure 9.1 PID DiagramThrough proper setting of the controls in a PID circuit, relatively quick response with minimal overshoot (passing the set point value) and ringing (oscillation about the set point value) can be achieved. Let’s take as an example a temperature servo, such as that for temperature stabilization of a laser diode. The PID circuit will ultimately servo the current to a Thermoelectric Cooler (TEC) (often times through control of the gate voltage on an FET). Under this example, the current is referred to as the Manipulated Variable (MV). A thermistor is used to monitor the temperature of the laser diode, and the voltage over the thermistor is used as the Process Variable (PV). The Set Point (SP) voltage is set to correspond to the desired temperature. The error signal, e(t), is then the difference between the SP and PV. A PID controller will generate the error signal and then change the MV to reach the desired result. For example, if e(t) states that the laser diode is too hot, the circuit will allow more current to flow through the TEC (proportional control). Since proportional control is proportional to e(t), it may not cool the laser diode quickly enough. In that event, the circuit will further increase the amount of current through the TEC (integral control) by looking at the previous errors and adjusting the output to reach the desired value. As the SP is reached (e(t) approaches zero), the circuit will decrease the current through the TEC in anticipation of reaching the SP (derivative control).
Please note that a PID circuit will not guarantee optimal control. Improper setting of the PID controls can cause the circuit to oscillate significantly and lead to instability in control. It is up to the user to properly adjust the PID gains to ensure proper performance.
PID Theory
The output of the PID control circuit, u(t), is given as

where
Kp= Proportional Gain
Ki(τ) = Integral Gain
Kd = Derivative Gain
e(t) = SP - PV(t)
From here we can define the control units through their mathematical definition and discuss each in a little more detail. Proportional control is proportional to the error signal; as such, it is a direct response to the error signal generated by the circuit:

Larger proportional gain results in larger changes in response to the error, and thus affects the speed at which the controller can respond to changes in the system. While a high proportional gain can cause a circuit to respond swiftly, too high a value can cause oscillations about the SP value. Too low a value and the circuit cannot efficiently respond to changes in the system.
Integral control goes a step further than proportional gain, as it is proportional to not just the magnitude of the error signal but also the duration of the error.

Integral control is highly effective at increasing the response time of a circuit along with eliminating the steady-state error associated with purely proportional control. In essence integral control sums over the previous error, which was not corrected, and then multiplies that error by Ki to produce the integral response. Thus, for even small sustained error, a large aggregated integral response can be realized. However, due to the fast response of integral control, high gain values can cause significant overshoot of the SP value and lead to oscillation and instability. Too low, and the circuit will be significantly slower in responding to changes in the system. When the integration term Ki is applied outside the integral and Ki is zero, the value of the integral can accumulate to very large values if e(t) maintains the same sign for an extended period of time. When Ki is then set to nonzero, this can result in a sudden bump in the output value as the accumulated value of the integral is suddenly able to affect the output.
The DSC1 controller instead uses a method called bumpless integration where the integration factor is located inside the integral. In this way when Ki is zero the value of the integral stays at zero and there is no bump when Ki is set to a nonzero value. Note that the DSC1 controller uses a value of zero for Ki when the I term is disabled, regardless of the value entered by the user.
Derivative control attempts to reduce the overshoot and ringing potential from proportional and integral control. It determines how quickly the circuit is changing over time (by looking at the derivative of the error signal) and multiplies it by Kd to produce the derivative response.

Unlike proportional and integral control, derivative control will slow the response of the circuit. In doing so, it is able to partially compensate for the overshoot as well as damp out any oscillations caused by integral and proportional control. High gain values cause the circuit to respond very slowly and can leave one susceptible to noise and high frequency oscillation (as the circuit becomes too slow to respond quickly). Too low and the circuit is prone to overshooting the SP value. However, in some cases overshooting the SP value by any significant amount must be avoided and thus a higher derivative gain (along with lower proportional gain) can be used. Table 9.2 explains the effects of increasing the gain of any one of the parameters independently.
| Table 9.2 PID Gain Parameter Effects | |||||
|---|---|---|---|---|---|
| Parameter Increased | Rise Time | Overshoot | Settling Time | Steady-State Error | Stability |
| Kp | Decrease | Increase | Small Change | Decrease | Degrade |
| Ki | Decrease | Increase | Increase | Decrease Significantly | Degrade |
| Kd | Minor Decrease | Minor Decrease | Minor Decrease | No Effect | Improve (for small Kd) |
Tuning
In general the gains of P, I, and D will need to be adjusted by the user in order to best servo the system. While there is not a static set of rules for what the values should be for any specific system, following the general procedures should help in tuning a circuit to match one’s system and environment. A PID circuit will typically overshoot the SP value slightly and then quickly damp out to reach the SP value.
Manual tuning of the gain settings is the simplest method for setting the PID controls. However, this procedure is done actively (the PID controller turned on and properly attached to the system) and requires some amount of experience to fully integrate. To tune your PID controller manually, first the integral and derivative gains are set to zero. Increase the proportional gain until you observe oscillation in the output. Your proportional gain should then be set to roughly half this value. After the proportional gain is set, increase the integral gain until any offset is corrected for on a time scale appropriate for your system. If you increase this gain too much, you will observe significant overshoot of the SP value and instability in the circuit. Once the integral gain is set, the derivative gain can then be increased. Derivative gain will reduce overshoot and damp the system quickly to the SP value. If you increase the derivative gain too much, you will see large overshoot (due to the circuit being too slow to respond). By playing with the gain settings, you can maximize the performance of your PID circuit, resulting in a circuit that quickly responds to changes in the system and effectively damps out oscillation about the SP value.
| Table 9.3 Control Circuit Gains | |||
|---|---|---|---|
| Control Type | Kp | Ki | Kd |
| P | 0.50 Ku | - | - |
| PI | 0.45 Ku | 1.2 Kp/Pu | - |
| PID | 0.60 Ku | 2 Kp/Pu | KpPu/8 |
While manual tuning can be very effective at setting a PID circuit for your specific system, it does require some amount of experience and understanding of PID circuits and response. The Ziegler-Nichols method for PID tuning offers a bit more structured guide to setting PID values. Again, you’ll want to set the integral and derivative gain to zero. Increase the proportional gain until the circuit starts to oscillate. We will call this gain level Ku. The oscillation will have a period of Pu. Gains for various control circuits are then given in Table 9.3.
Note that when using the Ziegler-Nichols tuning method with some devices like the DSC1 digital servo controller, the integral and derivative terms must be normalized by the sample rate. To do this, the integral term determined from the table should be divided by the sample rate in Hertz and the derivative term should be multiplied by the sample rate in Hertz.
| Posted Comments: | |
Anthony Martin
 (posted 2025-10-30 09:23:32.313) Hello,
I’m currently using a DSC1 - Compact Digital Servo Controller, and I would like to know whether it is possible to change or reconfigure the analog output range from ±4 V (–4 V to +4 V) to a unipolar range (0 V to +4 V).
I have checked the manual but couldn’t find any mention of this option.
Is there a hardware or software setting (for example, internal jumper, configuration file, or calibration parameter) that allows this adjustment?
If not, could you please confirm that the output range is fixed at ±4 V and that the only way to obtain a 0–4 V signal would be through external conditioning (e.g., offset and scaling circuit)?
Thank you very much for your help!
Best regards, jpoling
 (posted 2025-10-30 08:10:23.0) Thank you for contacting Thorlabs. We have recently released a firmware update that allows the DSC1 output limits to be configured by the user. It is now possible to configure for a unipolar output range of 0 - +4 V, rather than the bipolar ±4 V. Zhen Han
 (posted 2025-08-12 14:52:17.873) Hello Thorlabs,
I purchased K-Cube Beam Position Aligner for my application where the laser will be dimmed out temporarily during the experiment, and the 'automatic unlock/relock' function is really nice to have.
I also purchased DSC1 for laser intensity stabilization but the PID locking loop is disturbed very badly when the laser is temporarily dimmed. I really hope there can be some parameters that change the integral duration for "I" control in PID, or automatic unlock./relock function, and available for firmware update. jpoling
 (posted 2025-08-15 05:41:44.0) Thank you for contacting Thorlabs. The DSC1 integral gain coefficient can be user-set in the software. This is discussed at the beginning of chapter 4 of the manual. Additionally, the servo loop can be disabled/ enabled in the software using the STOP-RUN button if necessary. I have reached out to you directly to discuss your application in more detail. Loic Morvan
 (posted 2024-11-15 10:13:24.647) Hi,
very nice product!
However we would be interested in external control.
Even a simple control through serials commands would be sufficient for most of our applications.
On a longer time scale, a python SDK would of course be interesting.
Best regards,
Loïc ksosnowski
 (posted 2024-11-18 12:00:40.0) Hello Loïc, thanks for reaching out to us. The Python SDK was released as part of the DSCX Client Software as of version 1.1.0.0 in November of 2024. Diogo Almeda
 (posted 2024-10-30 14:03:04.39) Hello,
I work with coherent ultrafast spectroscopy and my experiment currently uses 3 servo loops for optical paths’ length stabilization and control. I noticed Thorlbas recently started selling a compact PID servo solution (DSC1) that could be a very good alternative to the hard-to-service loops I built myself. The complication involving my setup is that I need to modify the optical paths and take data at a very specific order and that would require an API, SDK or external control from you so I could, at least, turn on/off the DSC1 lock on the fly.
As far as I could check in the manual, that is not currently possible. So I would like to ask if there is any short-term plans for LabView/Python support release.
Best,
Diogo ksosnowski
 (posted 2024-11-08 01:07:01.0) Hello Diogo, and thanks for reaching out to us. The Python SDK was released as part of the DSCX Client Software as of version 1.1.0.0 in November of 2024. We do not have plans for a LabView SDK currently however I have shared your interest with our software development team for future considerations. I have reached out directly to discuss your application in further detail. |

- 最大帯域幅100 kHzの高速PID制御
- 周波数安定化レーザに対応
当社の小型デジタルサーボコントローラDSC1は、ユーザが選択した制御アルゴリズムによって決定されるリアルタイム電圧フィードバックにより、入力電圧信号に対して光学システムをロックまたは安定化することができます。このコントローラには、補完的な機能を備えた3つのモード(Servo Lockモード、Peak Lockモード、Rampモード)があります。Servo Lockモードでは、入力電圧の仕様値を一定に保つようにシステムをロックします。Peak Locモードでは、入力電圧の局所的なピークまたはバレーにシステムをロックします。Rampモードでは、システムの応答を観察するために、設定範囲にわたって出力電圧をリニアに掃引します。
コントローラDSC1には、SMB - BNC同軸ケーブルPAA248(長さ1.22 mm) 2本、USB 2.0 Type-A - Mini-Bデータケーブル USB-AB-721本、USB Type-A - USB Type-C電源ケーブル(長さ1 m) 1本が付属しています。電源は別売りです。

- DS5 Power Supply Provides Power From a Wall Outlet
- CPS1 Battery Pack Allows for Lower Noise with an 8 Hour or Greater Run Time
The DS5 Regulated Power Supply or CPS1 Battery Pack is recommended for powering the DSC1 controller. In applications where runtimes of greater than 8 hours are required, the DS5 regulated power supply is the preferred option. When optimal noise performance is desired, the CPS1 battery pack provides cleaner power for a lower noise floor.
DS5 Power Supply
The DS5 power supply is a 5 V, 2 A regulated power supply with a USB Type-A female port that can be used with any USB-compatible device that accepts a 5 VDC output. A region-specific adapter plug is shipped with the DS5 power supply unit based on your location.
CPS1 Battery Pack
In applications where lower noise is required, the CPS1 battery pack offers improved performance in exchange for limited run time. With the CPS1 battery pack fully charged and in good health, the DSC1 controller can operate for 8 hours or more without recharging. The CPS1 battery pack outputs 5 VDC at up to 2 A through a USB Type-A female port and offers 10 000 mAh of capacity. The pack includes a USB Type-A to Micro-B cable for charging. To activate the battery, simply push the power button once. The pack may be charged using standard 5 V USB chargers for portable devices or using a computer USB port. While the battery pack is charging, it can still supply power to an attached device.
Products Home











ズーム
小型デジタルサーボコントローラ